Reversing Frailty Levels in Primary Care Using the CARES Model

Olga Theou, PhD1, Grace H. Park, MD2, Antonina Garm, MSN2, Xiaowei Song, PhD2, Barry Clarke, MD3, Kenneth Rockwood, MD1

1Department of Geriatric Medicine, Dalhousie University and Nova Scotia Health Authority, Halifax, NS
2Fraser Health Authority, Surrey, BC
3Department of Family Medicine, Dalhousie University and Nova Scotia Health Authority, Halifax, NS

DOI: https://doi.org/10.5770/cgj.20.274


ABSTRACT

Background

The purpose of this manuscript was to evaluate the effectiveness of the Community Actions and Resources Empowering Seniors (CARES) model in measuring and mitigating frailty among community-dwelling older adults.

Methods

The CARES model is based on a goal-oriented multidisciplinary primary care plan which combines a comprehensive geriatric assessment (CGA) with health coaching. A total of 51 older adults (82 ± 7 years; 33 females) participated in the pilot phase of this initiative. Frailty was measured using the Clinical Frailty Scale (CFS) and the Frailty Index (FI-CGA) at baseline and at six-month follow-up.

Results

The FI-CGA at follow-up (0.21 ± 0.08) was significantly lower than the FI-CGA at baseline (0.24 ± 0.08), suggesting an average reduction of 1.8 deficits. Sixty-one per cent of participants improved their FI-CGA and 38% improved CFS categories. Participants classified as vulnerable/frail at baseline were more responsive to the intervention compared to non-frail participants.

Conclusion

Pilot data showed that it is feasible to assess frailty in primary care and that the CARES intervention might have a positive effect on frailty, a promising finding that requires further investigations. General practitioners who participate in the CARES model can now access their patients’ FI-CGA scores at point of service through their electronic medical records.

Key words: frailty, comprehensive geriatric assessment, frailty index, clinical frailty scale, Community Actions and Resources Empowering Seniors (CARES)

INTRODUCTION

Frailty is a multiply determined state of increased vulnerability to adverse health outcomes, reflecting the heterogeneity in health among people of the same age.(1) Frail people are at higher risk for poor quality of life and impaired function, and are more likely to rely on health-care resources such as acute care hospitals and home and institution-based long-term care.(26) Although it is possible to delay or slow the progression of frailty, the evidence for how best to do this is limited. (710) A recent scoping review of the literature identified that 14 interventional studies have been published focusing on frailty in community-dwelling older adults. Nine of these studies showed that the intervention significantly reduced the level of frailty. The interventions included in that review were comprehensive geriatric assessment and physical activity alone or combined with either nutrition, memory training, or home modifications.(11)

Assessing and managing frailty in primary care is feasible and beneficial.(12) The role of primary care is crucial, given that family physicians can focus more on patient-oriented care while they take into consideration the social context of the patients and how it affects their health status.(13) Even so, identification and treatment of frailty is currently not part of standard practice in primary care.(14) Comprehensively assessing patients’ risks and needs and facilitating referrals to community resources have been identified as common attributes of successful care models for patients with complex needs, such as patients at higher levels of frailty.(15)

The Fraser Health Authority (British Columbia, Canada) partnered with Nova Scotia Health Authority and a private sector organization (Shannex Inc. in Nova Scotia), through the Canadian Foundation for Healthcare Improvement’s EXTRA program, to design the Community Actions and Resources Empowering Seniors (CARES) model. CARES is a primary health care upstream intervention, intended to decrease the downstream impact of frailty on acute and emergency resources, while promoting older adults to age well and die fit. The purpose of this manuscript was to evaluate the effectiveness of the CARES model by assaying the feasibility of measuring frailty in primary care and the ability of the model to mitigate levels of frailty in community-dwelling older adults.

METHODS

CARES Initiative

The CARES model partners vulnerable older adults living in the community with primary care providers and community health coaches, provided free-of-charge, by employing a goal-oriented, multidisciplinary primary care plan (Figure 1). CARES incorporates five strategies:

  1. Early Identification of Vulnerable Older Adults: Primary care providers (PCP) identify older people from the community who are vulnerable, based on their clinical judgment, but not severely frail (i.e., not dependent for personal care), and who were motivated to participate in this initiative and could benefit from it.

  2. Collaborative Health Assessments: PCP teams are trained in using the comprehensive geriatric assessment (CGA) which includes the clinical frailty scale (CFS) and can also generate a Frailty Index (FI-CGA) score to assess frailty levels among patients.

  3. Wellness Plans: The CGA is used to inform the creation of a wellness plan to identify goals most important to the patients that can enhance their health and quality of life. The domains encouraged are exercise, socialization, and nutrition.

  4. Coaching: Patients are paired with a free-of-charge, telephone-based health coach for a period of up to six months, to support them and to track their progress in achieving goals in terms of exercise, chronic health-care issues management, and connections to resources in the community.

  5. On-Going Assessments: At the end of six months the CGA, including the CFS and FI-CGA, is repeated.

 


 

FIGURE 1 Community Actions and Resources Empowering Seniors (CARES) model

Participants

A total of 51 patients participated in the pilot phase of the CARES initiative (mean age 82 ± 7; 33 females). Inclusion criteria were people over the age of 65 who lived in community catchment area and spoke English. Participants were recruited from four primary care settings from two sites, including 33 patients from Fraser Health Authority and 18 patients from Nova Scotia Health Authority.

Frailty Measures

Frailty measurement was operationalized using both the CFS and the FI. These are two commonly used frailty assessment tools, particularly within clinical settings.(13) The FI, developed initially in 2001, is based on the deficit accumulation approach, which sees frailty as a multi-dimensional risk state that can be measured by the quantity rather than by the nature of health problems.(16) The more health deficits or problems an individual has, the frailer they will be. This approach does not include pre-specified variables, but suggests assessing a wide range of potential signs, symptoms, and laboratory abnormalities to identify the frailty level of a patient, as long as each included variable meets some standard criteria.(17) The deficits included in an FI should be age-related, associated with adverse outcomes, and when combined, should cover several organ systems.(17) The FI suggests that the additive effect of even smaller health problems may yield poor overall health, especially to people with prior health deficits. Because the FI encompasses a range of potential health deficits, it can better quantify a patient’s health compared with other measures that focus on a fewer number of health domains. (18) Regardless of the nature of deficits included in the FI and whether the sample includes community, institutionalized, or hospitalized older adults, once at least 30+ items have been included, the FI has remarkably similar measurement properties and substantive results.(19)

In clinical settings FI levels can be identified based on a CGA. Previous studies have validated the FI-CGA and shown that this tool can identify people at higher risk of adverse health outcomes.(5,20,21) In this project, the FI was constructed with 56 variables chosen from a CGA adopted for use within primary care (Table 1). Of the total 69 CGA variables considered for the FI, 13 were excluded either because the missing data for that particular variable was greater than 20% or the prevalence of the deficit (“bad” score) was too low. We coded a maximum of 18 co-morbidities. For example, in someone with nine conditions listed, nine was added to the numerator to calculate their FI. That is because typically 18 is the maximum number of current conditions recorded in a health record. For example, we would not code a surgical procedure, such as appendectomy or tonsillectomy, as a ‘health condition’. On the other hand, in someone with a common bile duct stone and pancreatitis, both pancreatitis and prior cholecystectomy would be recorded, if present. In short, as with other items on a CGA (e.g., dependence in specific activities of daily living or presence of anxiety) some clinical judgment is required.

TABLE 1 Frailty Index based on a Comprehensive Geriatric Assessment

 

The FI-CGA score of each patient was calculated by dividing the number of deficits by the number of total variables that were present and recordable in that patient.(17) For example, we divided the number of deficits by 56 for patients who had data on all 56 variables. If a patient was missing data on two variables, then the number of deficits for this patient was divided by 54. In this way, the FI-CGA score is continuous (0–1) and the higher the score the more likely that the individual is vulnerable to adverse health outcomes. Here, the baseline FI-CGA refers to the FI calculated from the CGA used in the initial assessment, and follow-up FI refers to the FI calculated from the follow-up CGA assessed.

Change in the FI-CGA levels between baseline and six-months follow-up was operationalized as change in the FI-CGA score greater than 0.02 (representing approximately a single deficit change). We also categorize frail people as those for whom the FI-CGA score was greater than 0.25.(22) We did not calculate the baseline FI-CGA score for one patient and FI-CGA score at the six-months follow-up for 12 patients because they were missing more than 20% of the selected FI-CGA variables (missing 18 variables).

The CFS, developed in 2005 as a way to summarize a comprehensive geriatric assessment,(23) is widely used as a frailty screening tool. The CFS is based on the clinical evaluation of a patient’s status in the domains of multimorbidity, function, mobility, and cognition, and has been shown to be valid, reliable, and easy to administer.(23) Since its initial validation, the CFS has expanded to include nine levels (from very fit to terminally ill), and is used nationally and internationally in geriatric medicine and other settings, such as primary care, general internal and geriatric medicine, cardiology, and intensive care.(6,12,21,2429) In our analyses, we reported the proportion of people classified at each level of the CFS category, but also the first three CFS categories (very fit, well, managing well) combined in order to identify those considered as non-frail. CFS scores were missing for 2 patients at baseline and 10 patients at follow-up.

Statistical Analyses

We first used descriptive statistics to describe our sample. We then examined the relationship between the FI-CGA and CFS with age, using Pearson’s or Spearman’s correlation coefficients. We compared FI-CGA scores at baseline and at six-months follow-up using mixed-design analysis of variance with age (< 80, 80+) and gender (male, females) as the between-subject factors (i.e., whether frailty is different between age groups and gender), and time as the within-subject factor (i.e., how much frailty in the sample tends to change over time). Additionally, we examined frailty status at baseline as a between-subject factor. These analyses allowed us to examine the interaction of all of these factors with time (e.g., whether changes in frailty status over time is different between males and females), as well as the main effect of these factors. We used Wilcoxon signed-rank test to compare the changes in the CFS scores between baseline and six-months follow-up. Analyses were conducted using SPSS (version 22, SPSS Inc.). Data are reported as mean ± standard deviation and the level of statistical significance was set at a p value of .05.

RESULTS

Of the 51 participants, 33 were females and the mean age at baseline was 82 ± 7. Thirty participants were older than 80 years. The age difference between males and females was not statistically significant, with males having a mean age of 82.6 ± 5.8 and females a mean age of 81.7 ± 7.6 (p = .63). The mean baseline FI-CGA was 0.26 ± 0.10 (range: 0.07–0.52). Based on the CFS categories, 8 participants (16%) were categorized as very fit, 13 (27%) as well, 15 (31%) as managing well, 11 (22%) as vulnerable, and 2 (4%) as mildly frail. When we grouped the first three CFS categories, 36 (74%) patients were identified as non-frail.

The FI-CGA and CFS were significantly correlated at baseline (r = 0.330; p = .022; Figure 2). The FI-CGA was related with age (r = 0.359; p = .011), but CFS was not. FI-CGA scores at baseline were higher (p = .01) in participants older than 80 years (0.29 ± 0.08) compared with those younger than 80 (0.22 ± 0.10). Even so, there were no differences in FI scores between males (0.25 ± 0.08) and females (0.26 ± 0.10; 0.59). We also did not find statistically significant differences in the number of patients classified as non-frail by CFS at baseline between the two age groups (< 80 years 86% non-frail, 80+ years 64% non-frail; p = .09) and genders (males 83% non-frail, females 68% non-frail; p = .23).

 


 

FIGURE 2 Frailty Index scores based on the Comprehensive Geriatric Assessment at baseline for each Clinical Frailty Scale category
Error bars represent standard deviation.

Change in Frailty Scores Between Baseline and Follow-Up

Change between baseline and six-months follow-up was examined only for participants who had frailty scores at both baseline and follow-up; 38 people for the FI-CGA and 39 people for the CFS. Ten patients were missing both the FI-CGA and CFS scores at the follow-up. These patients had statistically similar age, proportion of females, and baseline FI-CGA and CFS scores as the rest of the patients (p > .05).

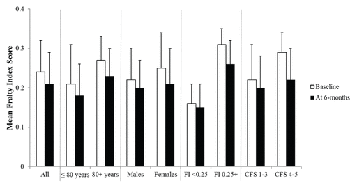
For the FI-CGA there were no statistically significant interactions of time by age and sex (p = .666). There was a main effect for time (p = .006) and age (p = .025), but not for gender (p = .378). The follow-up FI-CGA (0.21 ± 0.08) was significantly lower than the baseline FI-CGA (0.24 ± 0.08) (Figure 3). On average patients’ scores decreased by 0.032, which is a reduction of 11% (Table 2). A total of 23 people improved their FI-CGA between baseline and six-months follow-up (FI change greater than 0.02), corresponding to 61% of the available sample. On the other hand, 16% (N = 6) declined over the same time-period and 24% (N = 9) remained stable. Regarding CFS, a total of 15 people improved CFS categories between the two time points (for example, transitioning from the “frail” category to “vulnerable), which corresponds to 38.5% of the available sample (Table 2). Five people (13%) were in a worse CFS category at follow-up and 19 people (49%) remained in the same CFS category (p = .06). Among the people who improved their CFS score, most (79%) also improved their FI-CGA score, showing high agreement between the two measures. We also observed that the higher the FI-CGA or CFS scores at baseline, the bigger the decline in the FI-CGA scores at follow-up.

 


 

FIGURE 3 Frailty index scores based on the Comprehensive Geriatric Assessment at baseline and six-months follow-up
Error bars represent standard deviation. All scores at 6 months were statistically significant lower than baseline (p<.05).

TABLE 2 Change in frailty scores between baseline and six-month follow-up

 

DISCUSSION

This study showed that an intervention, based in primary care and modeled on a comprehensive geriatric assessment, may be associated with improvement in the degree of frailty at six-month follow-up. Similar to randomized trials of specialized comprehensive geriatric assessment, the association was most evident in people with some degree of frailty at baseline (CFS scores 4–5), but less so in people with lesser impairment (CFS scores 1–3). Further, the FI-CGA and CFS scores were related, but showed differences in their responsiveness to the intervention.

The data showed that, on average, the FI score of the participants decreased by 0.03 (11% decline), 61% improved their FI-CGA score, and 38% improved their CFS level (e.g., transition from vulnerable to well). These changes during the six months of the program are important considering that it is expected that, in older adults, FI scores increase by 4.7% every year and double between the age of 65 and 80.(30) In our sample, instead of gaining on average approximately 0.7 deficits within one year (4.7% increase), participants shed 1.8 deficits within six months (11% decline).

In the CARES model, the wellness plan was developed by the primary care provider after the initial CGA. The domains encouraged were exercise, socialization, and nutrition. Even so, the direction given to the provider was intentionally left unstructured as we expected the relationship between the provider and their patient would help define the wellness plan. Future research could be targeted at the specifics of the wellness plan and whether additional domains should be added.

When examining the differences between the two scales, the FI-CGA seems to be more sensitive to change than the CFS. This was expected, as the FI-CGA is a more comprehensive assessment of frailty whereas the CFS was developed as a screening tool. Here, improvements might seem greater in females and people over 80 compared with males and patients younger than 80, respectively, but this needs to be explored in a larger study, as is planned for these pilot data. Even so, we observed that the frailer the participants, the more likely they were to improve their health through the program. For example, among patients classified as vulnerable or mildly frail by the CFS, all transitioned to a less frail category and 88.9% were categorized as non-frail at six-month follow-up; four people were lost to follow-up.

Our data must be interpreted with caution. First, it is a pilot observational study, with a before/after design and no other comparison group. Secular improvement or an observation effect cannot be ruled out, and assessors were not blind to the intent of the study. Further testing is needed and is planned. Also, it is important to note that the sample size was small and this could be one of the reasons for the lack of significance among some of the findings. The CARES group is considering various strategies to overcome barriers related to patients’ adherence to the program, as well as recruitment of primary care providers and patients in order to increase the feasibility and sustainability of this initiative.

This pilot project is exciting as it joins a comparative handful of studies that have addressed how to employ interventions that lessen the degree of frailty. Given how high the stakes are and how common the problem of frailty is, these conditions strongly favour testing the intervention in a controlled clinical trial. Future studies including more people need to examine whether the CGA could be incorporated in an app to increase uptake and to make the assessment and, especially the scoring of the FI-CGA, easier. The lessons learned from the pilot testing of the CARES initiative are listed below.

  1. Providers commented on the length of the CGA, especially in paper format. Embedding the CGA into medical records with the ability to calculate FI-CGA scores at point of service may be more efficient to primary care teams, more effective for tracking and evaluation, and more feasible than paper-based CGAs. At Fraser Health, the CGA is now included in the electronic medical records, allowing general practitioners who participate in CARES to access the FI-CGA scores of their patients at point of service. Future studies need to test whether this could lead to improve care for older adults.

  2. Completing the CGA in a multi-disciplinary approach provides a great opportunity for team-based care in primary care settings to address comprehensive patient care and coaching.

  3. Health coaching works best for motivated patients interested in learning more about their health-care management, as well as those interested in assuming more responsibility in the management of their care. Coaching is not as well suited for the non-motivated patient.

  4. Patients may be frailer, as assessed by the FI-CGA, than their primary care providers think.

In conclusion, this pilot study showed that it is feasible to assess frailty in community-dwelling older adults with both an FI-CGA and a CFS, and that the intervention examined might mitigate the effects of frailty. We found that the FI-CGA was more responsive to changes compared with the CFS, and that the program worked best for patients with the higher frailty scores. Even so, other factors such as age and gender did not seem to be important in respect to who might demonstrate a better response to the intervention.

ACKNOWLEDGEMENTS

The CARES initiative was funded by The Canadian Foundation for Healthcare improvements EXTRA program. The secondary analysis of this initiative was supported by the Fountain Family Innovation Fund, a philanthropic award administered via the QEII Health Sciences Center Foundation. Additional funding for open access publications was provided from Fraser Health Authority. The authors acknowledge the assistance of Ms. Miranda McMillan who provided the secondary analysis of this project.

CONFLICT OF INTEREST DISCLOSURES

The authors declare that no conflicts of interest exist.

REFERENCES

1 Clegg A, Young J, Iliffe S, et al. Frailty in elderly people. Lancet. 2013;381(9868):752–62.
cross-ref  pubmed  pmc  

2 Kojima G. Frailty as a predictor of hospitalisation among community-dwelling older people: a systematic review and meta-analysis. J Epidemiol Community Health. 2016;70(7):722–29.
cross-ref  pubmed  

3 Kojima G. Frailty as a predictor of nursing home placement among community-dwelling older adults: a systematic review and meta-analysis. J Geriatr Phys Ther. 2016;Jun 23.
cross-ref  pubmed  

4 Kojima G, Iliffe S, Jivraj S, et al. Association between frailty and quality of life among community-dwelling older people: a systematic review and meta-analysis. J Epidemiol Community Health. 2016;70(7):716–21.
cross-ref  pubmed  

5 Hominick K, McLeod V, Rockwood K. Characteristics of older adults admitted to hospital versus those discharged home, in emergency department patients referred to internal medicine. Can Geriatr J. 2016;19(1):9–14.
cross-ref  pubmed  pmc  

6 Juma S, Taabazuing MM, Montero-Odasso M. Clinical Frailty Scale in an acute medicine unit: a simple tool that predicts length of stay. Can Geriatr J. 2016;19(2):34–39.
cross-ref  pubmed  pmc  

7 Theou O, Chapman I, Wijeyaratne L, et al. Can an intervention with testosterone and nutritional supplement improve the frailty level of under-nourished older people? J Frailty Aging. 2016;5(4):247–52.
pubmed  

8 Cameron ID, Fairhall N, Langron C, et al. A multifactorial interdisciplinary intervention reduces frailty in older people: randomized trial. BMC Med. 2013;11:65.
cross-ref  pubmed  pmc  

9 Cesari M, Vellas B, Hsu FC, et al. A physical activity intervention to treat the frailty syndrome in older persons—results from the LIFE-P study. J Gerontol A Biol Sci Med Sci. 2015;70(2):216–22
cross-ref  pmc  

10 Theou O, Stathokostas L, Roland KP, et al. The effectiveness of exercise interventions for the management of frailty: a systematic review. J Aging Res. 2011;2011:569194.
cross-ref  pubmed  pmc  

11 Puts MT, Toubasi S, Andrew MK, et al. Interventions to prevent or reduce the level of frailty in community-dwelling older adults: a scoping review of the literature and international policies. Age Ageing. 2017;46(3):383–92. Epub ahead of print.
pubmed  pmc  

12 Marshall EG, Clarke BS, Varatharasan N, et al. A Long-Term Care-Comprehensive Geriatric Assessment (LTC-CGA) tool: improving care for frail older adults? Can Geriatr J. 2015 Mar 31;18(1):2–10. doi: 10.5770/cgj.18.122.
cross-ref  pubmed  pmc  

13 Theou O, Rockwood K. Comparison and clinical applications of the Frailty Phenotype and Frailty Index Approaches. Interdiscip Top Gerontol Geriatr. 2015;41:74–84.
pubmed  

14 Charles L, Triscott JA, Dobbs BM, et al. Geriatric core competencies for family medicine curriculum and enhanced skills: care of elderly. Can Geriatr J. 2014;17(2):53–62.
cross-ref  pubmed  pmc  

15 McCarthy D, Ryan J, Klein S. Models of care for high-need, high-cost patients: an evidence synthesis. CFP #31. New York: Commonwealth Fund Publications, 2015.

16 Mitnitski AB, Mogilner AJ, Rockwood K. Accumulation of deficits as a proxy measure of aging. Scientific World Journal. 2001;1:323–36.
cross-ref  

17 Searle SD, Mitnitski A, Gahbauer EA, et al. A standard procedure for creating a frailty index. BMC Geriatr. 2008;8:24.
cross-ref  pubmed  pmc  

18 Farrell SG, Mitnitski AB, Rockwood K, et al. Network model of human aging: Frailty limits and information measures. Phys Rev E. 2016;94(5):052409.
cross-ref  pubmed  

19 Theou O, Brothers TD, Peña FG, et al. Identifying common characteristics of frailty across seven scales. J Am Geriatr Soc. 2014;62(5):901–06.
cross-ref  pubmed  

20 Jones DM, Song X, Rockwood K. Operationalizing a frailty index from a standardized comprehensive geriatric assessment. J Am Geriatr Soc. 2004;52(11):1929–33.
cross-ref  pubmed  

21 Evans SJ, Sayers M, Mitnitski A, et al. The risk of adverse outcomes in hospitalized older patients in relation to a frailty index based on a comprehensive geriatric assessment. Age Ageing. 2014;43(1):127–32.
cross-ref  

22 Theou O, Brothers TD, Rockwood MR, et al. Exploring the relationship between national economic indicators and relative fitness and frailty in middle-aged and older Europeans. Age Ageing. 2013;42(5):614–19.
cross-ref  pubmed  pmc  

23 Rockwood K, Song X, MacKnight C, et al. A global clinical measure of fitness and frailty in elderly people. CMAJ. 2005;173(5):489–95.
cross-ref  pubmed  pmc  

24 Gregorevic KJ, Hubbard RE, Katz B, et al. The Clinical Frailty Scale predicts functional decline and mortality when used by junior medical staff: a prospective cohort study. BMC Geriatr. 2016;16:117.
cross-ref  pubmed  pmc  

25 Belga S, Majumdar SR, Kahlon S, et al. Comparing three different measures of frailty in medical inpatients: Multicenter prospective cohort study examining 30-day risk of readmission or death. J Hosp Med. 2016;11(8):556–62.
cross-ref  pubmed  

26 Wallis SJ, Wall J, Biram RW, et al. Association of the clinical frailty scale with hospital outcomes. QJM. 2015;108(12):943–49.
cross-ref  pubmed  

27 Ekerstad N, Swahn E, Janzon M, et al. Frailty is independently associated with 1-year mortality for elderly patients with non-ST-segment elevation myocardial infarction. Eur J Prev Cardiol. 2014;21(10):1216–24.
cross-ref  

28 Brummel NE, Bell SP, Girard TD, et al. Frailty and subsequent disability and mortality among patients with critical illness. Am J Respir Crit Care Med. 2017;196(1). Epub 2016 Dec 6 ahead of print.
cross-ref  

29 Bagshaw M, Majumdar SR, Rolfson DB, et al. A prospective multicenter cohort study of frailty in younger critically ill patients. Crit Care. 2016;20(1):175.
cross-ref  pubmed  pmc  

30 Mitnitski A, Rockwood K. The rate of aging: the rate of deficit accumulation does not change over the adult life span. Biogerontology. 2016;17(1):199–204.
cross-ref  



Correspondence to: Olga Theou, phd, Dalhousie University and Nova Scotia Health Authority, Suite 1313, 5955 Veterans’ Memorial Lane, Halifax, NS B3H 2E1, Canada, E-mail: olga.theou@dal.ca

(Return to Top)



Canadian Geriatrics Journal, Vol. 20, No. 3, September 2017