Volunteer Impact on Health-Related Outcomes for Seniors: a Systematic Review And Meta-Analysis

Ainsley Moore, MD, CFPC, MSc1, Shahrzad Motagh, DVM, MSc2, Behnam Sadeghirad, MSc, PhD2, Housne Begum, MSc, PhD1, John J. Riva, DC, MSc, PhD1,3,4, Jessica Gaber, MWS, RSW1, Lisa Dolovich, BScPhm, PharmD, msc1,3,4

1Department of Family Medicine, McMaster University, Hamilton, ON, Canada
2The Michael G. DeGroote Institute of Pain Research and Care, McMaster University, Hamilton, ON, Canada
3Health Evidence and Impact, McMaster University, Hamilton, ON, Canada
4Leslie Dan Faculty of Pharmacy, University of Toronto, Toronto, ON, Canada

DOI: https://doi.org/10.5770/cgj.24.434



ABSTRACT

Background

Volunteers are increasingly promoted to improve health-related outcomes for community-dwelling elderly without synthesized evidence for effectiveness. This systematic review and meta-analysis evaluates the effects of unpaid volunteer interventions on health-related outcomes for such seniors.

Methods

MEDLINE, EMBASE and Cochrane (CENTRAL) were searched up to November 2018. We included English language, randomized trials. Two reviewers independently identified studies, extracted data, and assessed evidence certainty (using GRADE). Meta-analysis used random-effects models. Univariate meta-regressions investigated the relationship between volunteer intervention effects and trial participant age, percentage females, and risk of bias.

Results

28 included studies focussed on seniors with a variety of chronic conditions (e.g., dementia, diabetes) and health states (e.g., frail, palliative). Volunteers provided a range of roles (e.g., counsellors, educators and coaches). Low certainty evidence found that volunteers may improve both physical function (MD = 3.2 points on the 100-point SF-36 physical component score [PCS]; 95% CI: 1.09, 5.27) and physical activity levels (SMD = 0.5, 95% CI: 0.14 to 0.83). Adverse events were not increased.

Conclusion

Volunteers may increase physical activity levels and subjective ratings of physical function for seniors without apparent harm. These findings support the WHO call to action on evidence-based policies to align health systems in support of older adults.

Key words: volunteers, geriatrics, community

INTRODUCTION

Increasing longevity is a main driver of population aging worldwide. This trend has major implications for the health-care sector, particularly human health resources where traditional family structures have changed dramatically with increased numbers of older people living alone and without informal caregivers.(1) The world’s population aged 60 years and older will double and total about two billion by 2050, and is expected to carry the highest burden of chronic disease, requiring increasingly complex care management across multiple sectors of primary, community, and home-based care.(2)

As community builders and cultivators of social connectedness, volunteers are needed and increasingly recruited and trained to work within the health-care system to add relational support, improve connection with social and health-care systems, and augment health professional resources and services.(3) New programs (e.g., home-based care and treatment support) emphasizing the volunteer role in the community to improve health-care integration and health outcomes for older adults are emerging;(47) however, this entire body of evidence has not been synthesized to date.

Previous reviews have summarized separately some aspects of volunteer impact for those living with cancer, depression, and diabetes among children and general adult populations (not specifically adults over 55 years of age).(810) Closer to our population of interest, a narrative subgroup analysis from a Cochrane review found that community lay health workers improved subjective well-being, happiness, physical health, and contentment, with no improvement in mortality, disability, or mental health status for the elderly(11) (although these interventions included paid lay health workers).

Based on the overarching hypothesis from the Health TAPESTRY(12) study, we proposed (aprior) that community volunteer activity, comparable to community or lay health worker activities, would improve patient-reported outcomes for older adults. To that end, we reviewed the literature in older populations to assess the impact specifically of unpaid volunteers on physical activity, self-reported mental and physical health, quality of life, falls, hospitalization, and harms (adverse events) experienced by elderly persons residing in the community. Our broad outcomes of interest (physical health and mental well-being) were not only limited to recipients of volunteer care and could include such impacts on volunteers who may themselves be older adults. It is important to acknowledge that, in addition to our outcomes of interest, there are deep and meaningful social gains (e.g., companionship, camaraderie, self-esteem) that are experienced particularly by older volunteers, as well as instrumental benefits of volunteering (e.g., skills development and employability) as experienced by younger volunteers.(13)

Aligned with the WHO strategy on aging to “maintain functional ability and well-being in older age”,(1) this paper aims to support the development of evidence-informed policy for clinical leaders, health system planners, volunteer organizations, and citizens regarding health and social system planning for the increasing populations of seniors residing in the community.

METHODS

Protocol Registration

A protocol for this review was registered with PROSPERO (CRD42019116541).

Data Sources

We searched MEDLINE, EMBASE and the Cochrane Central Register of Controlled Trials (CENTRAL) for relevant published randomized control trials (RCTs), from database inception to November 2018, without language restriction. Appendix A provides the search strategy. We also searched the reference lists of included studies and relevant reviews for additional eligible trials.

Study Selection

Reviewers screened the titles and abstracts of all identified studies, independently and in duplicate, using a priori selection criteria. Subsequently, reviewers assessed full texts for potentially eligible studies, and resolved disagreements through consensus or third-party consultation with the authorship team. We screened for inclusion, English language trials that randomized adults residing in the community aged 55 years or older to volunteer interventions or to usual/standard of care, waitlist control, or no intervention. To be included, volunteers were the primary intervention. We excluded studies where participants were hospitalized or resided in institutional settings (e.g., hospitals, long-term care, prison) or workplace settings. We also excluded studies that compensated volunteers (paid volunteer personnel) or did not report any of our outcomes of interest.

Our outcomes of interest were: subjective reports from older adults of physical health (physical function, physical activity levels), mental health (emotional function, anxiety, depression), and quality of life, as well as objective outcomes of frequency of falls, hospital admissions, and lastly, adverse events associated with volunteer interventions. Specifically, we were interested in the following outcomes, as measured by these six metrics:

Physical Health

  1. Physical functioning as reported using the ‘physical functioning’ domains from validated tools such as: the 36-Item and 12-Item Short Form Health Surveys (SF-36, SF-12),(14) the Western Ontario and McMaster Universities Osteoarthritis Index (WOMAC),(15) and the WHO Quality of Life-BREF (WHOQOL-BREF).(16) If the ‘physical functioning’ domain was not available, the physical component summary scores of the SF-36 or SF-12 (which incorporate the domains of physical functioning and role physical) were used.(14)

  2. Physical activity as reported using validated metrics such as: time spent in moderate to vigorous physical activity (MVPA)(17) (e.g., minutes of exercise per week) or the metabolic equivalent of task (MET) (e.g., energy spent in activity per kg of weight).(18)

Mental Health

  1. Emotional functioning as reported using the ‘emotional functioning’ domain from validated tools such as the SF-36 and SF-12(14) or the WHOQOL-BREF.(16) If the ‘emotional functioning’ domain was not available, the mental component summary scores (which include emotional functioning) from the SF-36 or SF-12(14) were used.

  2. Anxiety as reported using the anxiety subscales of the Hospital Anxiety and Depression Scale (HADS),(19) the Mental Health Inventory (MHI),(20) or other validated tools.

  3. Depression as reported using the depression subscales of the HADS,(19) the MHI, the Centre for Epidemiological Studies-Depression (CES-D) scale,(21) the Geriatric Depression Scale, or other validated tools were used.(22)

Quality of Life

Quality of life as reported using the EuroQol-5D (EQ-5D),(23) WHOQOL-BREF,(16) or other validated tools were used.

Falls (as reported)

Hospitalizations (as reported)

Adverse Events (as reported by study authors)

Data Extraction and Risk of Bias Assessment

Two reviewers (BS and SM) extracted the following data, independently and in duplicate: general study information (first author’s name, publication year, and trial design), participants’ details (sample size, age, number of male/female participants, participants’ health status/clinical conditions), details on the intervention and comparison (characteristics of volunteers, setting), and outcomes as listed above (Appendix B). In three- or four-arm randomized trials with two active arms, if both interventions were delivered by unpaid volunteers but with different intensity or duration, we combined outcome data using methods suggested by the Cochrane Handbook for Systematic Reviews of Interventions.(24) When studies reported their results in multiple follow ups, we extracted data from the longest follow-up time.

The same two reviewers independently assessed risk of bias using a modified Cochrane risk of bias instrument for RCTs that addressed the following issues: random sequence generation, allocation concealment, blinding of study participants, health-care providers, and outcome assessors, incomplete outcome data (> 20% missing participant data), and other potential sources of bias.(25,26)

Certainty of Evidence Assessment

To assess the certainty of evidence, we used the Grading of Recommendations, Assessment, Development, and Evaluation (GRADE) approach that classifies evidence as high, moderate, low, or very low certainty on the basis of considerations of risk of bias, inconsistency, indirectness, imprecision, and publication bias.(27) We resolved disagreements between reviewers in data extraction, risk of bias assessments, and assessments of evidence certainty by consensus. We used the MAGIC Authors Publishing Platform (https://app.magicapp.org) to generate the GRADE summary of findings table.

Data Synthesis and Statistical Methods

Continuous measures were converted to common scales on a domain-by-domain basis as follows:(28)

  1. Physical functioning was converted to the 100-point SF-36 physical component score.

  2. Emotional functioning was converted to the 100-point SF-36 mental component score.

  3. Quality of life was converted to 0–1 point EQ-5D score.

  4. Depression and anxiety were converted to 10-point HADS (range from 11–21).

For the above-mentioned outcomes, we calculated the mean difference (MD) and its corresponding 95% confidence interval (CI). The median of the control group of included trials was used as the baseline risk. Due to the nature of measurements for physical activity, we decided to use standardized mean difference (SMD) for pooling these results due to various reporting metrics (e.g., MET, MVPA). For frequency of falls and hospitalizations, we used narrative description to summarize these results, as quantitative pooling was not feasible due to variation in reporting (e.g., total number of individuals experiencing an event and number of falls events). For cluster randomized trials, we used the method suggested by the Cochrane Handbook for Systematic Reviews of Interventions to calculate effective sample size, using the intracluster correlation coefficient or variance inflation factor reported in the original trial.(24)

Statistical heterogeneity was assessed using the Q statistic and I2. We used the DerSimonian–Laird random-effects model for the meta-analysis of all outcomes.(24) We performed subgroup analysis for risk of bias on an item-by-item basis. Subgroup analyses were performed when two or more studies were in a given subgroup. We conducted tests of interaction to establish whether the subgroups differed significantly from each other.(29) We performed univariate meta-regressions to assess the effects of participant’s age and percentage of female participants on the intervention effects. We examined publication bias using funnel plots for outcomes when 10 or more studies were available.(30) We used Stata software (Version 15.1, StataCorp LLC, College Station, TX, USA) for all statistical analysis.

RESULTS

Description of Included Studies

We identified 3,794 titles and abstracts from our searches, of which 139 were deemed eligible for full-text evaluation. Figure 1 provides the details of study selection. We included 27 trials in 28 reports that proved eligible, enrolling 146,937 individuals. The median age of study participants among the included studies was 66.4 years (interquartile range [IQR]: 61.4 to 76.1), on average 65.0% of trial participants were female (IQR: 52.2% to 82.7%). One study took place in a lower-middle income country (Philippines), the remainder took place in high income countries: the USA (9 studies), followed by the United Kingdom (5 studies), Canada and Austria (3 studies each), Australia and Hong Kong (2 studies each), and one study from each of Scotland, Finland, and Argentina (Table 1).

 


 

FIGURE 1 PRISMA flow diagram for study selection

TABLE 1 Characteristics of Studies



 

Studies focused on seniors living with a variety of conditions and health states, including: cardiovascular disease,(3133) osteoarthritis,(3436) diabetes,(3739) cancer,(4044) inactivity,(4547) dementia,(48) depression,(49) frailty,(50,51) end of life status,(52) and healthy seniors(35,5356) (Table 1).

Volunteers were most commonly described as ‘peers’ in various roles including: general support,(34,38,43,45,48) mentoring,(32,41,55,57) educating,(37) coaching,(39,41) advising,(45) and counseling.(40,42) Volunteers were frequently described as non-proessionally trained, lay-tutors,(31) lay health workers,(50) and general ‘volunteers’,(55,57) as well as variously described as: retired seniors,(35,52) befrienders,(48,55,57) volunteer professors,(53) students,(49) and facilitators(55,57) (Table 1). Two of the included studies reported impact on senior volunteers themselves who described value and meaning in their own engagement with older adults, relating to their ability to connect and make a contribution.(48,57)

Study interventions intended to support a range of health goals, most commonly improving physical activity levels,(35,41,42,50,51,54,56) followed by chronic disease self-management skills,(3133,3739) and coping with cancer,(40,41,43,44) care giving,(48) and end of life state,(52) as well as improving overall mental well-being,(36,42,49) social connectedness,(55,57) and capacity for aging at home(55,57) (Table 1).

Blinding of participants is not considered feasible in this context and, therefore, the main concerns of bias were related to lack of assessor blinding affecting 22 included studies,(31,3440,4245,4958) inadequate allocation concealment in 11 studies,(31,36,37,40,4245,49,52,53) and incomplete outcome data (>20% of participants) in 9 studies(38,44,47,50,52,5457) (Figure 2) with individual study risk of bias reported in Appendix C.

 


 

FIGURE 2 Risk of bias-included studies

Physical Health

Meta-analysis of 12 trials (n = 1,521) that reported physical functioning(3136,41,47,49,51,54,57) showed that participants who received volunteer support had statistically significant improvement in physical function compared to those who received usual care (MD = 3. 1 points [95% CI: 0.87 to 5.24 points] on a 100-point SF-36 physical component score; I2 = 72.0%, low certainty evidence) (Figure 3, Table 2). We found no evidence of subgroup effect (Appendix D, Figures D.1, D.2, D.3, D.4) or a small study effect (p value for the Egger’s test = 0.089, Appendix D, Figure D.5).

 


 

FIGURE 3 Physical function (mean difference SF-36 PCS)

TABLE 2 GRADE summary of findings


Among six included RCTs (n = 1,349) that reported physical activity, meta-analysis showed that participants who received volunteer support had statistically significant improvement in their physical activity levels compared to those who received usual care or no physical activity intervention(41,42,45,46,51,56) (SMD = 0.5 points [95% CI: 0.14 to 0.83]; I2 = 83.7%, low certainty evidence) (Figure 4, Table 2). We found no evidence of subgroup effect for adequate allocation concealment or blinding of assessors (Appendix E, Figures E.1, E.2).

 


 

FIGURE 4 Physical activity (standardized mean differences)

Mental Health

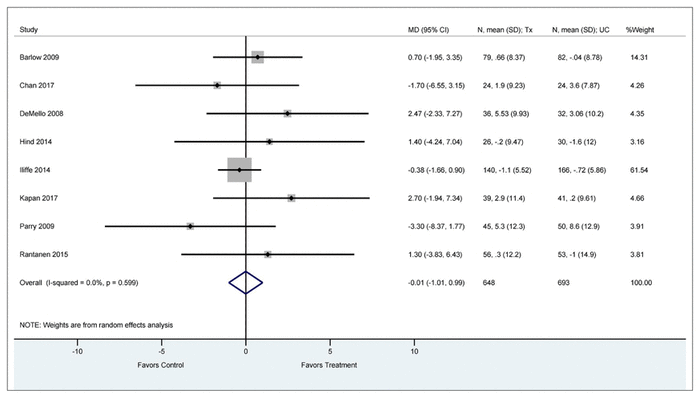
Meta-analysis of 10 trials (n = 1,341) that reported emotional functioning(3136,41,47,51,54,57) showed no difference between participants receiving volunteer support compared to those who received usual care (MD = −0.34 points [95% CI: −1.22 to 0.54 points] on a 100-point SF-36 mental component score; I2 = 0%, low certainty evidence) (Figure 5, Table 2). We found no evidence of subgroup effect (Appendix F, Figures F.1, F.2, F.3, F.4) or small study effect (p value for the Egger’s test = 0.593, Appendix F, Figure F.5).

 


 

FIGURE 5 Emotional function (mean difference SF-36 MCS)

Meta-analysis of 11 trials (n = 1,382) that reported depression scores(31,32,3436,43,47,48,52,53,57) showed no difference between participants receiving volunteer support compared to those who received usual care (MD = 0.3 points lower [95% CI: −1.17 to 0.58 points] on a 10-point HADS-depression subscale; I2 = 0%, low certainty evidence) (Figure 6, Table 2). We found no evidence of subgroup effect (Appendix G, Figures G.1, G.2, G.3, G.4) or small study effect (p value for the Egger’s test = .356, Appendix G, Figure G.5).

 


 

FIGURE 6 Depression (mean difference HADS)

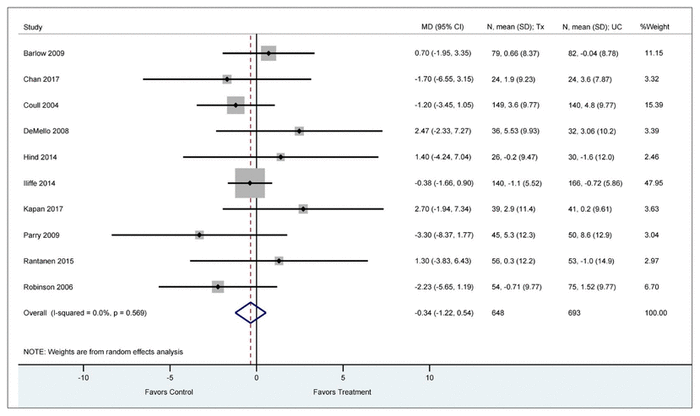
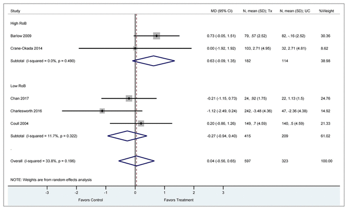
Meta-analysis of 5 trials (n = 920) that reported anxiety scores(31,32,40,47,48) showed no difference between participants receiving volunteer support compared to those who received usual care (MD = 0.04 points lower [95% CI: −0,56 to 0.65 points] on the 10-point HADS-anxiety subscale; I2 = 33.8%, low certainty evidence) (Figure 7, Table 2). We found no evidence of subgroup effect (Appendix H, Figures H.1, H.2, H.3).

 


 

FIGURE 7 Anxiety (mean difference HADS)

Quality of Life

Meta-analysis of 8 studies (n = 1,437) that reported quality of life(34,35,38,39,48,51,54,57) showed no difference between participants receiving volunteer support compared to those who received usual care or no intervention (MD = 0.00 points [95% CI: −0.02 to 0.01 points] on a 1 point EQ-5D Scale; I2 = 0%, low certainty evidence) (Figure 8, Table 2). We found evidence of a significant test of interaction for the subgroup of low versus high risk of bias due to missing participants data (p = .012). Studies at low risk of bias for missing participant data were not significantly associated with volunteer improvement in Quality of Life (>20%) (MD = 0.02 points [95% CI: 0.00 to 0.05 points]); I2 = 0%, p = .917. No other evidence for subgroup effects were noted (Appendix I, Figures I.1, I.2, I.3). Small study effect (publication bias) was not detected (Eggers Test = 0.062) (Appendix I, Figure I.4).

 


 

FIGURE 8 Quality of life (mean difference EQ5D)

Falls

Two included RCTs reported falls using different metrics, the incidence of falls(54) and the proportion of fallers,(51) and were not pooled, but summarized narratively, as follows. For frail older adults, a 12-week structured physical training and nutrition intervention carried out by lay volunteers showed a decrease in the proportion of fallers, but not reaching significance (p = .11).(51) For seniors over 65 years of age drawn from a general practice population (stable chronic health conditions), a class-based community falls management exercise program delivered by peer mentors significantly reduced falls by 18% (p < .01)(54) and increased self-reported physical activity 12 months after the intervention.

Hospitalization

Two included RCTs reporting hospitalization were not pooled, as one study reported the mean admission rate per 1000 population(58) and the other provided a descriptive report of admission (quantitative rate not provided).(37) A cluster randomized trial of a cardiovascular health awareness program delivered by volunteers versus no intervention reported a 9% adjusted relative reduction in cardiac-related admissions (95% confidence interval 0.86 to 0.97; p = .002), although all cause admissions were not reduced.(58) A diabetes education program provided by professionals versus peer volunteers reported that “few hospitalizations were recorded in the overall population sample, with no significant difference between groups during the study.”(37)

Adverse Events

Six included studies reported surveillance for adverse events or harms, three reported no adverse events occurring for patients or volunteers,(34,46,57) and two studies reported no difference between study arms.(32,54) One non-critical event occurred when one volunteer experienced discomfort when a caregiver stepped out of the boundaries of a befriending role.(48)

DISCUSSION

We identified 27 unique RCTs addressing the impact of unpaid volunteers on the health of older adults residing in the community, almost all taking place in high-income countries, focusing on seniors living with a range of health conditions and health states. Volunteers addressed a diversity of health needs and goals and represented a variety of roles. Despite this diversity (moderate to high heterogeneity) that was not explained by study risk of bias or participants’ age or sex, our results support the role of volunteers to improve physical function and physical activity levels for seniors. This benefit for increased physical activity and self-reported physical health was identified regardless of the health condition being targeted (e.g. recent myocardial infarction,(31,32), dysphoria,(49) severe physical disabilities,(36) cancer,(4042,44) or recent hip surgery,(34) or the volunteer role provided (e.g., lay tutor,(31) lay mentor,(32) volunteer student,(49) or peer support(36,38)).

Analysis for depression trended toward favouring volunteer support, although, it did not reach statistical significance. There was no volunteer effect noted for anxiety or for senior’s emotional function. Anxiety levels were particularly worse for carers of people with dementia who were supported by friendship volunteers (compared to usual care), and this study appears to be driving the overall effect on anxiety; however, anxiety was a secondary outcome in this study. Of note, depression scores from this study (a primary outcome) approached statistically significant improvement for these befriended carers (95% CI −0.09 to 2.84, p = .06).(48) Quality of life as measured by five studies with low risk of bias for missing participant data (<20%) trended toward a volunteer effect, although it was not significant. For the two studies which reported falls, the incidence of falls was significantly reduced in one, but the proportion of fallers was not significantly reduced in the other.(51,54) This may be explained by differences in the study population and/or differences in the type and duration of volunteer intervention. The proportion of fallers among frail elderly individuals who received home-based physical training from volunteer buddies for 12 weeks was not significantly reduced.(51) Whereas the number of falls was significantly reduced for more robust seniors who received a class-based community exercise plus walking program for 24 weeks.(54) Hospitalization rates were no different for professional diabetic educators compared to peer volunteer educators,(37) while cardiovascular related admissions were significantly reduced for a volunteer delivered, community-based cardiovascular awareness intervention.(58) Adverse events were monitored in six studies and reported as either no events or no significant event difference. Heterogeneity was not explained by any analyses conducted.

Findings in Context

To our knowledge this is the first review to specifically synthesize trial-level data for the impact of unpaid volunteers on health-related outcomes for older adults living in the community with a variety of primary care conditions. Although indirect from our intervention of interest for unpaid volunteers, one review that focused on peer-supporters (paid and unpaid) for those living with diabetes (no age specification), also found a positive association with improvements in physical activity.(59) Other reviews of paid lay health workers in primary and community care provided a narrative report of improved health-related behavior, including increased physical activity,(60) with mixed results for mental and physical function.(13) Other outcomes of interest were not summarized in these reviews, however participants were generally satisfied with lay health worker encounters and increased their knowledge of disease and self-management.(60)

These findings of physical health benefit have implications for functional ability and independence for older adults in the community. Both regular physical activity and short-term exercise programs are associated with significantly reduced risk of functional limitations and disability in older adults across a range of functional measures.(61) Relatedly, robust evidence from two Cochrane reviews support exercise as effective falls prevention interventions;(62,63) this was achieved with only half of community-dwelling older participants adhering to exercise interventions.(61) Since falls represent the leading cause of fatal and non-fatal injuries among adults aged 65 and older, it is conceivable that trained volunteers supporting adherence to exercise guidance(62) could reduce falls and associated disability, thereby maintaining independence for aging in place. Consistent with this supposition, we also found that falls were significantly reduced for community-based seniors over 65 years of age (with stable chronic health conditions), who received a six-month falls management exercise program,(54) and for frail elderly receiving a 12-week structured physical training and nutrition program, although not reaching significance in this population (p = .10).(51)

Although heterogeneity across volunteer interventions limits identification of specific predictors of improved health outcomes, the observed benefit may be attributed to both the natural motivation of volunteers to help, and to the frequently used volunteer interventions of informational and emotional support, social connection and feedback on goal progress, which are consistent with social support(64) and self-efficacy theories.(65) Given that analyses for depression and possibly quality of life (considering low risk of bias studies) favoured volunteer interventions but were not statistically significant, further study of how volunteers can be best integrated into delivery processes of community-based care is warranted.

Limitations

Certainty of evidence was low mainly due to high risk of bias and inconsistency, and generalizability is limited to high-income countries. Heterogeneity (moderate to high) was not explained by study risk of bias items, imputed variability estimates, mean participant age, or proportion of female participants. Diverse volunteer characteristics and contexts (e.g., roles, activities, volunteer support and training, recipient health conditions, underlying theoretical basis for volunteer interventions), as well as the variety of terms used to describe such volunteer characteristics, limited subgroup analyses of ‘like’ studies that would allow for inference about volunteer variables and their impact on outcomes of interest. Agreed upon terms and definitions to describe volunteers (e.g., peer, mentor, counselor, tutor, educator, buddy, befriender, facilitator, guide), as well as development of a volunteer taxonomy (e.g., roles, activities, theoretical basis for volunteer interventions, duration of volunteer training and contact with recipients), would allow for better understanding of optimal volunteer conditions and their impacts.

CONCLUSIONS

We found evidence to support the role of volunteers to increase physical activity levels for seniors and to improve their subjective ratings of physical health, without harm. As relevant indicators of therapeutic success, particularly for independent living in older people, these findings align with the WHO call to action on aging. Policymakers, clinical leaders, health system planners, volunteer organizations, and others could make use of this synthesized evidence to consider the role of volunteers in health system planning for aging populations.

ACKNOWLEDGEMENTS

We wish to acknowledge the following individuals for their assistance with database searching and initial study screening: Mehreen Bhamani, Jennifer Longaphy, Steve Dragos, Stephanie Di Pelino, and Fiona Parascandalo. We are particularly grateful to Lynda Nash for her logistics expertise and administrative leadership.

CONFLICT OF INTEREST DISCLOSURES

The authors declare that no conflicts of interest exist.

APPENDIX A

Search strategy, including Ovid MEDLINE(R) and Epub Ahead of Print, In-Process & Other Non-Indexed Citations, Daily and Versions(R), 1946 to November 1, 2018



 

APPENDIX B

Data extraction form



 

APPENDIX C

Risk of bias (individual studies)
 


 

APPENDIX D

Physical function (mean difference SF-36 physical component score-100 point scale)

 

 


 

D.1 Physical function (subgroup analysis—allocation concealed adequately)

 


 

D.2 Physical function (subgroup analysis—outcome assessors adequately blinded)

 


 

D.3 Physical function (subgroup analysis—incomplete reporting, >20%, missing participant data)

 


 

D.4 Physical function (sensitivity analysis—excluding studies with imputed SD)

 


 

D.5 Physical function funnel plot (small study effect not significant; p value for Egger’s test = .06); meta-regression: no covariates (physical health) explained observed heterogeneity

APPENDIX E

Physical activity (standardized mean difference)
 


 

E.1 Physical activity (subgroup analysis—adequately concealed allocation)

 


 

E.2 Physical activity (subgroup analysis—outcome assessors blinded); analyses for incomplete outcome reporting and imputed standard deviation not relevant (no studies affected); not enough studies to test for small study effect (publication bias)

APPENDIX F

Emotional function (mean difference SF-36 mental component score-100 point scale)
 


 

F.1 Emotional function (subgroup analysis—adequately concealed allocation)

 


 

F.2 Emotional function (subgroup analysis—outcome assessor adequately blinded)

 


 

F.3 Emotional function (subgroup analysis—incomplete reporting >20% missing participant data)

 


 

F.4 Emotional function (subgroup analysis—excluding studies with imputed standard deviation)

 


 

F.5 Emotional function funnel plot (small study effect not significant; p value for Egger’s test = .589)

APPENDIX G

Depression (mean difference HADS-10 point scale)
 


 

G.1 Depression (subgroup analysis—adequately concealed allocation)

 


 

G.2 Depression (subgroup analysis—outcome assessors adequately blinded)

 


 

G.3 Depression (subgroup analysis—incomplete reporting >20% missing participant data)

 


 

G.4 Depression (sensitivity analysis—excluding studies with imputed standard deviation)

 


 

G.5 Depression funnel plot (small study effect not significant; p value for Egger’s test = .356)

APPENDIX H

Anxiety (mean difference HADS-10 point scale)
 


 

H.1 Anxiety (subgroup analysis—adequately concealed allocation)

 


 

H.2 Anxiety (subgroup analysis—outcome assessors adequately blinded)

 


 

H.3 Anxiety (sensitivity analysis—excluding studies with imputed standard deviation)

APPENDIX I

Quality of life (EQ 5D; 0–1 point scale)
 


 

I.1 Quality of life (subgroup analysis—adequately concealed allocation)

 


 

I.2 Quality of life (subgroup analysis—outcome assessors adequately blinded)

 


 

I.3 Quality of life (subgroup analysis—incomplete reporting >20% missing participant data)

 


 

I.4 Quality of life funnel plot (small study effect significant; p value Egger’s test = .054)

REFERENCES

1 World Health Organization. Global strategy and action plan on ageing and health. Geneva, Switzerland: World Health Organization; 2017. License: CC BY-NC-SA 3.0 IGO. Available from: https://www.who.int/ageing/WHO-GSAP-2017.pdf

2 United Nations DoEaSA, Population Division. World population prospects: comprehensive tables (ST/ESA/SER.A/399). New York: United Nations; 2017. Available from: https://population.un.org/wpp/Publications/Files/WPP2017_Volume-I_Comprehensive-Tables.pdf

3 Gilburt H, Buck D, Smith, J. Volunteering in general practice: opportunities and insights. London, UK: The King’s Fund; 2018.

4 Dorgo S, King GA, Bader JO, et al. Comparing the effectiveness of peer mentoring and student mentoring in a 35-week fitness program for older adults. Arch Gerontol Geriatr. 2011;52(3):344–49.
cross-ref  

5 Rantakokko M, Pakkala I, Äyräväinen I, et al. The effect of out-of-home activity intervention delivered by volunteers on depressive symptoms among older people with severe mobility limitations: a randomized controlled trial. Aging Ment Health. 2015;19(3):231–38.
cross-ref  

6 Dorgo S, Robinson KM, Bader J. The effectiveness of a peer-mentored older adult fitness program on perceived physical, mental, and social function. J Am Acad Nurse Prac. 2009;21(2):116–22.
cross-ref  

7 Luger E, Dorner TE, Haider S, et al. Effects of a home-based and volunteer-administered physical training, nutritional, and social support program on malnutrition and frailty in older persons: a randomized controlled trial. J Am Med Dir Assoc. 2016;17(7):671.e9–.e16.
cross-ref  

8 Dale J, Caramlau IO, Lindenmeyer A, at al. Peer support telephone calls for improving health. Cochrane Db Syst Rev. 2008(4).
cross-ref  

9 Meyer A, Coroiu A, Korner A. One-to-one peer support in cancer care: a review of scholarship published between 2007 and 2014. Eur J Cancer Care. 2015;24(3):299–312.
cross-ref  

10 Avery A, Bostock L, McCullough F. A systematic review investigating interventions that can help reduce consumption of sugar-sweetened beverages in children leading to changes in body fatness. J Hum Nutr Diet. 2015;28(Suppl 1):52–64. Epub 09/19.
cross-ref  pmc  

11 Lewin S, Dick J, Pond P, et al. Lay health workers in primary and community health care. Cochrane Db Syst Rev. 2005(1).
cross-ref  

12 Dolovich L, Oliver D, Lamarche L, et al. Combining volunteers and primary care teamwork to support health goals and needs of older adults: a pragmatic randomized controlled trial. CMAJ. 2019;191(18):E491–E500.
cross-ref  pubmed  pmc  

13 Rutherford A, Bu F, Dawson A, et al. Literature review to inform the development of Scotland’s volunteering outcomes framework: People, communities and places. Edinburgh: Govt. of Scotland; 2019.

14 Ware, JE, Dewey JE, Kosinski M. How to score Version 2 of the SF-36 Health Survey (Standard and Acute forms), 3rd ed. ed. Lincoln, RI: QualityMetric; 2001.

15 Theiler R, Spielberger J, Bischoff HA, et al. Clinical evaluation of the WOMAC 3.0 OA Index in numeric rating scale format using a computerized touch screen version. Osteoarthr Cartilage. 2002;10(6):479–81.
cross-ref  

16 Skevington SM, Lotfy M, O’Connell KA. The World Health Organization’s WHOQOL-BREF quality of life assessment: psychometric properties and results of the international field trial. A report from the WHOQOL Group. Qual Life Res. 2004;13(2):299–310.
cross-ref  pubmed  

17 Moore SC, Patel AV, Matthews CE, et al. Leisure time physical activity of moderate to vigorous intensity and mortality: a large pooled cohort analysis. PLoS Med. 2012;9(11):e1001335. Epub 11/06.
cross-ref  pubmed  pmc  

18 Jetté M, Sidney K, Blümchen G. Metabolic equivalents (METS) in exercise testing, exercise prescription, and evaluation of functional capacity. Clin Cardiol. 1990;13(8):555–65.
cross-ref  pubmed  

19 Zigmond AS, Snaith RP. The Hospital Anxiety and Depression Scale. Acta Psychiatr Scand. 1983;67(6):361–70.
cross-ref  pubmed  

20 Veit CT, Ware JE. The structure of psychological distress and well-being in general populations. J Consult Clin Psych. 1983;51(5):730–42.
cross-ref  

21 Lewinsohn PM, Seeley JR, Roberts RE, et al. Center for Epidemiologic Studies Depression Scale (CES-D) as a screening instrument for depression among community-residing older adults. Psychol Aging. 1997;12(2):277–87.
cross-ref  pubmed  

22 Yesavage JA, Brink TL, Rose TL, et al. Development and validation of a geriatric depression screening scale: a preliminary report. J Psychiatr Res. 1982;17(1):37–49.
cross-ref  pubmed  

23 Ravens-Sieberer U, Wille N, Badia X, et al. Feasibility, reliability, and validity of the EQ-5D-Y: results from a multinational study. Qual Life Res. 2010;19(6):887–97. Epub 04/17.
cross-ref  pubmed  pmc  

24 Higgins JPT, Thomas J, Chandler J, et al. Cochrane handbook for systematic reviews of interventions, 2nd ed. Chichester, UK: John Wiley & Sons; 2019.
cross-ref  

25 Higgins JPT, Altman DG, Gøtzsche PC, et al. The Cochrane Collaboration’s tool for assessing risk of bias in randomised trials. BMJ. 2011;343:d5928.
cross-ref  

26 Akl EA, Sun X, Busse JW, et al. Specific instructions for estimating unclearly reported blinding status in randomized trials were reliable and valid. J Clin Epidemiol. 2012;65(3):262–67.
cross-ref  

27 Guyatt GH, Oxman AD, Vist GE, et al. GRADE: an emerging consensus on rating quality of evidence and strength of recommendations. BMJ. 2008;336(7650):924–26.
cross-ref  pubmed  pmc  

28 Thorlund K, Walter SD, Johnston BC, et al. Pooling health-related quality of life outcomes in meta-analysis—a tutorial and review of methods for enhancing interpretability. Res Synthesis Meth. 2011;2(3):188–203.
cross-ref  

29 Altman DG, Bland JM. Interaction revisited: the difference between two estimates. BMJ. 2003;326(7382):219.
cross-ref  pubmed  pmc  

30 Sterne JAC, Sutton AJ, Ioannidis JP, et al. Recommendations for examining and interpreting funnel plot asymmetry in meta-analyses of randomised controlled trials. BMJ. 2011;343:d4002.
cross-ref  pubmed  

31 Barlow JH, Turner AP, Gilchrist M. A randomised controlled trial of lay-led self-management for myocardial infarction patients who have completed cardiac rehabilitation. Eur J Cardiovasc Nur. 2009;8(4):293–301.
cross-ref  

32 Coull AJ, Taylor VH, Elton R, et al. A randomised controlled trial of senior Lay Health Mentoring in older people with ischaemic heart disease: The Braveheart Project. Age Ageing. 2004;33(4):348–54.
cross-ref  pubmed  

33 Parry MJ, Watt-Watson J, Hodnett E, et al. Cardiac home education and support trial (CHEST): a pilot study. Can J Cardiol. 2009;25(12):e393–e398.
cross-ref  pubmed  pmc  

34 Crotty M, Prendergast J, Battersby MW, et al. Self-management and peer support among people with arthritis on a hospital joint replacement waiting list: a randomised controlled trial. Osteoarthr Cartilage. 2009;17(11):1428–33.
cross-ref  

35 Rantanen T, Äyräväinen I, Eronen J, et al. The effect of an outdoor activities’ intervention delivered by older volunteers on the quality of life of older people with severe mobility limitations: a randomized controlled trial. Aging Clin Exp Res. 2015;27(2):161–69.
cross-ref  

36 Robinson-Whelen S, Hughes RB, Taylor HB, et al. Improving the health and health behaviors of women aging with physical disabilities: a peer-led health promotion program. Women’s Health Issues. 2006;16(6):334–45.
cross-ref  pubmed  

37 Gagliardino JJ, Arrechea V, Assad D, et al. Type 2 diabetes patients educated by other patients perform at least as well as patients trained by professionals. Diabetes/Metabol Res Rev. 2013;29(2):152–60.
cross-ref  

38 Johansson T, Keller S, Winkler H, et al. Effectiveness of a Peer Support Programme versus Usual Care in Disease Management of Diabetes Mellitus Type 2 regarding Improvement of Metabolic Control: A Cluster-Randomised Controlled Trial. J Diabetes Res. 2016;2016:10.
cross-ref  

39 Safford MM, Andreae S, Cherrington AL, et al. Peer coaches to improve diabetes outcomes in rural Alabama: a cluster randomized trial. Ann Fam Med. 2015;13(Suppl 1):S18–S26.
cross-ref  pubmed  pmc  

40 Crane-Okada R, Freeman E, Kiger H, et al. Senior peer counselling by telephone for psychosocial support after breast cancer surgery: effects at six months. Oncol Nurs Forum. 2012;39(1):78–89.
cross-ref  

41 DeMello MM, Pinto BM, Mitchell S, Et Al. Peer support for physical activity adoption among breast cancer survivors: Do the helped resemble the helpers? Eur J Cancer Care. 2018;27(3): e12849. Epub 04/10.
cross-ref  

42 Leone LA, Allicock M, Pignone MP, et al. cluster randomized trial of a church-based peer counselor and tailored newsletter intervention to promote colorectal cancer screening and physical activity among older African Americans. Health Educ Behav. 2016;43(5):568–76. Epub 10/29.
cross-ref  

43 Weber BA, Roberts BL, Yarandi H, et al. The impact of dyadic social support on self-efficacy and depression after radical prostatectomy. J Aging Health. 2007;19(4):630–45.
cross-ref  pubmed  

44 White V, Macvean M, Grogan S, et al. Can a tailored telephone intervention delivered by volunteers reduce the supportive care needs, anxiety and depression of people with colorectal cancer? A randomised controlled trial. Psychooncology. 2012;21(10):1053–62.
cross-ref  

45 Buman MP, Giacobbi PR, Jr., Dzierzewski JM, et al. Peer volunteers improve long-term maintenance of physical activity with older adults: a randomized controlled trial. J Phys Act Health. 2011;8(Suppl 2):S257–S266.
cross-ref  pubmed  pmc  

46 Castro CM, Pruitt LA, Buman MP, et al. Physical activity program delivery by professionals versus volunteers: the TEAM randomized trial. Health Psychol. 2011;30(3):285–94.
cross-ref  pubmed  pmc  

47 Chan AW, Yu DS, Choi KC. Effects of tai chi qigong on psychosocial well-being among hidden elderly, using elderly neighborhood volunteer approach: a pilot randomized controlled trial. Clin Interv Aging. 2017;12:85–96.
cross-ref  pubmed  pmc  

48 Charlesworth G, Shepstone L, Wilson E, et al. Does befriending by trained lay workers improve psychological well-being and quality of life for carers of people with dementia, and at what cost? A randomised controlled trial. Health Technol Assess. 2008;12(4).
cross-ref  pubmed  

49 McNeil JK. Effects of nonprofessional home visit programs for subclinically unhappy and unhealthy older adults. J Appl Gerontol. 1995;14(3):333–42.
cross-ref  

50 Haider S, Dorner TE, Luger E, et al. Impact of a home-based physical and nutritional intervention program conducted by lay-volunteers on handgrip strength in prefrail and frail older adults: a randomized control trial. PloS one. 2017;12(1):e0169613.
cross-ref  pubmed  pmc  

51 Kapan A, Winzer E, Haider S, et al. Impact of a lay-led home-based intervention programme on quality of life in community-dwelling pre-frail and frail older adults: a randomized controlled trial. BMC Geriatr. 2017;17(1):154.
cross-ref  pubmed  pmc  

52 Allen RS, Harris GM, Burgio LD, et al. Can senior volunteers deliver reminiscence and creative activity interventions? Results of the legacy intervention family enactment randomized controlled trial. J Pain Symptom Manag. 2014;48(4):590–601. Epub 03/22.
cross-ref  

53 Escolar Chua RL, de Guzman AB. Effects of third age learning programs on the life satisfaction, self-esteem, and depression level among a select group of community dwelling Filipino elderly. Educ Gerontol. 2014;40(2):77–90.
cross-ref  

54 Iliffe S, Kendrick D, Morris R, et al. Multicentre cluster randomised trial comparing a community group exercise programme and home-based exercise with usual care for people aged 65 years and over in primary care. Health Technol Assess. 2014;18(49).
cross-ref  

55 Mountain GA, Hind D, Gossage-Worrall R, et al. ‘Putting Life in Years’ (PLINY) telephone friendship groups research study: pilot randomised controlled trial. Trials. 2014;15(1):141.
cross-ref  

56 Thomas GN, Macfarlane D, Guo B, et al. Health promotion in older Chinese: a 12-month cluster randomized controlled trial of pedometry and “peer support”. Med Sci Sports Exercise. 2012;44(6):1157–66.
cross-ref  

57 Hind D, Gossage-Worral R, Walters S, et al. Putting Life in Years (PLINY): a randomised controlled trial and mixed-methods process evaluation of a telephone friendship intervention to improve mental well-being in independently living older people. Public Health Resh. 2014;2(7).

58 Kaczorowski J, Chambers LW, Dolovich L, et al. Improving cardiovascular health at population level: 39 community cluster randomised trial of Cardiovascular Health Awareness Program (CHAP). BMJ. 2011;342:d442.
cross-ref  pubmed  pmc  

59 Tang TS, Ayala GX, Cherrington A, et al. A review of volunteer-based peer support interventions in diabetes. Diabetes Spectrum. 2011;24(2):85–98.
cross-ref  

60 Norris SL, Chowdhury FM, Van Le K, et al. Effectiveness of community health workers in the care of persons with diabetes. Diabetic Med. 2006;23(5):544–56.
cross-ref  pubmed  

61 Paterson DH, Warburton DE. Physical activity and functional limitations in older adults: a systematic review related to Canada’s Physical Activity Guidelines. Int J Behav Nutr Phys Activity. 2010;7(1):1–22.
cross-ref  

62 Cameron ID, Murray GR, Gillespie LD, et al. Interventions for preventing falls in older people in nursing care facilities and hospitals. Cochrane Db Syst Rev. 2010(1).
cross-ref  

63 Gillespie LD, Robertson MC, Gillespie WJ, et al. Interventions for preventing falls in older people living in the community. Cochrane Db Syst Rev. 2012(9).

64 Langford CPH, Bowsher J, Maloney JP, et al. Social support: a conceptual analysis. J Adv Nurs. 1997;25(1):95–100.
cross-ref  pubmed  

65 Bandura A, Cervone D. Self-evaluative and self-efficacy mechanisms governing the motivational effects of goal systems. J Personality Soc Psychol. 1983;45(5):1017–28.
cross-ref  


Correspondence to: Ainsley Moore, md, cfpc, msc, Department of Family Medicine, McMaster University, 100 Main St. W., 3rd Floor, Hamilton, ON L8P 1H6, E-mail:amoore@mcmaster.ca

(Return to Top)


Canadian Geriatrics Journal, Vol. 24, No. 1, March 2021