Community and Provider Evaluation of a Canadian Dementia Support Services Program

Mallorie T. Tam, BSc1,2, Jill A. Dosso, PhD1,2, Julie M. Robillard, PhD1,2

1Department of Medicine, Division of Neurology, The University of British Columbia, Vancouver, BC
2British Columbia Children’s & Women’s Hospital, Vancouver, BC

DOI: https://doi.org/10.5770/cgj.25.548


ABSTRACT

Background

Community programs and services dedicated to support those living with dementia and care partners can improve their quality of life. In close collaboration with the Alzheimer Society of British Columbia, we evaluated the First Link® dementia support services, aiming to identify key strengths and areas of improvements to inform the services offered.

Methods

A survey instrument was developed and distributed to people living with dementia, care partners, and health-care providers.

Results

A total of 1,123 surveys were analyzed. Overall, respondents were satisfied with First Link dementia support services. Key strengths of the program included providing information and education for their clients to learn more about dementia and other resources in the community. Areas for improvement that were identified as part of this evaluation included additional supports for participants’ mental health and well-being in terms of reducing stress, burden and isolation. Findings uncovered discrepancies in the way people living with dementia, care partners, and health-care providers view the effectiveness of the First Link dementia support services.

Conclusion

An evaluation of programs and services for people living with dementia and their care partners can provide valuable insights about their experiences which can ensure that their needs are addressed.

Key words: program evaluation, dementia, Alzheimer’s, patient experience

INTRODUCTION

Receiving a dementia diagnosis can be overwhelming, both for the person receiving the diagnosis and for their loved ones. In many cases, family members take on care partnership roles, assisting with daily activities to support the person living with dementia. For both care partners and people living with dementia, additional support is required in order to better manage the day-to-day symptoms and maintain their overall well-being. Government and community health-care programs can significantly improve quality of life and care of people living with dementia and their care partners.(13) Through these programs, people living with dementia and their care partners benefit from accessible, prompt, and customizable health-care services and resources tailored to their needs.

Around the world, many programs and services have been implemented in an effort to respond to these needs, including telehealth services,(4) in-home care, dementia prevention classes for older adults,(5) opportunities for volunteer work in the community,(6) physical exercise programs,(7,8) and programs that allow people living with dementia to participate in social activities.(9) These services work to relieve physical and psychological symptoms and help support independence. For example, home-based services like occupational therapy can support people living with Alzheimer’s disease in their daily activities through functional gains, such as increased performance of hand function.(8,10)

Several existing programs also provide education and support for care partners to better care for people living with dementia and manage their own well-being. Dedicated care partner programs, such as the online program Tele-Savvy, can provide knowledge and information that increases their confidence in executing their care partner duties.(11,12) Other programs involve occupational therapists who provide care partners with strategies for home-care practice,(13) online, telephone or home-based education sessions focusing on knowledge and skills in caring for people living with dementia,(1421) and psycho-educational programs that support care partners in decreasing their care burden and maintaining good mental health.(22,23)

Online and in-person educational initiatives and interventions are also available for health-care providers to improve their quality of care for people living with dementia. These programs can provide additional training in recognizing dementia or skills to practice proper care. After a few weeks or months of educational and training sessions, health-care providers report significant positive effects on their attitude towards their care approach, as well as better knowledge and skills, increased self-confidence in assisting people living with dementia, and reduced stress.(2429)

These programs and interventions can increase involvement of people living with dementia in their own care and decrease the demands on care partners. Therefore, the implementation of community care and support programs is crucial to support the quality of life of the person living with dementia, as well as their care partners.(30,31) An evaluation process that allows for the identification of program strengths and areas for improvement is integral to the success of these programs.

First Link® Dementia Support Services

First Link is a dementia support service provided by the Alzheimer Society of B.C. in Canada. The Alzheimer Society of B.C. is a non-profit provincial organization dedicated to helping people concerned with—or facing—dementia. Founded in 1981, the Society has 40 years of experience in providing support services for people impacted by dementia. Adapted from a program developed by the Alzheimer Society of Ontario, First Link connects individuals diagnosed with dementia and their family and friends to the Alzheimer Society of B.C.’s dementia support services to help them make informed decisions so they can live well with the challenges of dementia at every stage of the disease. First Link offers a referral system where health-care providers are able to refer a person living with dementia to First Link. People are also able to self-refer by reaching out to the First Link Dementia Help Line or by visiting or calling the Alzheimer Society of B.C. resource centre. Once the referral has been made, the person living with dementia receives a call from the Alzheimer Society of B.C.’s professional staff who offer them access to a suite of dementia support services: regular support calls, support groups, education workshops, a fitness program called Minds in Motion®, webinars and information resources related to caregiving and living with dementia, as well as information about other community and health-care resources. First Link informs their clients’ health-care providers once they have connected with a referred client; however, they do not share any detailed information unless the client grants permission for First Link to speak on their behalf. The staff who work at First Link, such as the Support and Education Coordinators, come from a variety of different backgrounds including nursing, counselling, gerontology, social work, or support work from social service agencies. Clients also receive ongoing support calls from volunteers throughout the progression of the disease to identify and address changing needs. These occur every six months on average and clients who are experiencing greater needs receive calls more frequently. Clients are also able to connect with First Link by participating in support groups, as well as education sessions and fitness programs that are offered weekly.

In the present work, we evaluated the existing programs and services that fall under First Link. We had two goals: 1) establish a method for research-based program evaluation that combines the complementary strengths of broad-reaching survey tools and targeted, in-depth qualitative approaches, and that allows for repeated measures; and 2) identify the key strengths and areas for improvement of the program from the perspective of various stakeholders, including people living with dementia, their care partners, and health-care providers. To address these aims, this project consists of two phases, the first being a province-wide survey, followed up with in-depth interviews in the second phase. Here we report on the first phase of the program evaluation.

METHODS

Survey Instrument

In close collaboration with the Alzheimer Society of B.C., a three survey instrument was developed for people living with dementia, their care partners, and health-care providers. The survey was piloted by the research team and an advisory board that included: 1) people with lived experience of dementia; 2) members of the Alzheimer Society of B.C.; and 3) members of the research team. The survey was refined before launching in May 2019, using the Qualtrics survey software (AualtricsXM, Provo, UT). The surveys that were completed by people living with dementia and care partners included questions around the following themes: 1) home care information; 2) professional health-care information; and 3) experience with First Link dementia support services. For health-care providers, survey questions were included around: 1) care information; 2) referrals to First Link dementia support services; and 3) experience with First Link dementia support services. All study protocols were approved by the University of British Columbia Behavioural Research Ethics Board.

Recruitment

Recruitment for people living with dementia and care partners was carried out through newsletters sent by the Alzheimer Society of B.C., advertisements posted at local care homes, and adult day programs, as well as on Twitter and Facebook pages owned by the Alzheimer Society of B.C. and Neuroethics Canada. The survey was also shared in a newsletter distributed online by Doctors of British Columbia to recruit health-care providers. Majority of all respondents were invited by email, and contact details for people living with dementia, care partners, and health-care providers were provided by the Alzheimer Society of B.C.

RESULTS

We collected and analyzed responses from 863 care partners, 192 health-care providers, and 68 people living with dementia between May 2019 and December 2019. Data from an additional 26 care partners, 9 people living with dementia, and 6 health-care providers were excluded because they failed to make any responses or because they selected the response “I do not consent, I do not wish to participate.” Data were aggregated and visualized in RStudio primarily using the tidyr and ggplot2 packages.(32)

Participant Demographics

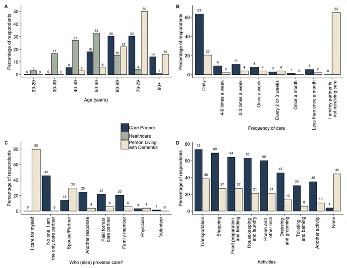
The majority of participants living with dementia and care partners were over the age of 50 (Figure 1A). Most respondents identified as female (care partners 75%, people living with dementia 54%, health-care providers 86%), and were Caucasian (care partners 91%, people living with dementia 89%, health-care providers 83%), with the next largest groups of respondents being Asian/Pacific Islander (7% of total sample) and Indigenous Canadian/Native American (1.5%). Majority of participants were living in the Greater Vancouver Area (care partners 41%, people living with dementia 31%, health-care providers 31%), with others living outside of the metropolitan area such as Vancouver Island (care partners 23%, people living with dementia 26%, health-care providers 31%), and the Thompson Rivers and Okanagan regions (care partners 13%, people living with dementia 12%, health-care providers 12%). In terms of living situations, respondents mainly resided in homes/townhomes (care partners 71%, people living with dementia 69%) as well as apartments or condominiums (care partners 23%, people living with dementia 19%).

 


 

FIGURE 1 Characteristics of survey respondents and the nature of the care they provide and receive: A) age of respondents; B) frequency of care; C) composition of care teams; D) care activities provided

Care Information from Care Partners and People Living with Dementia

Where the numbers of participants are reported below for both groups, the order is as follows: (care partners, people living with dementia).

Most care partners (80%) and people living with dementia (75%) were married or in a domestic relationship, with some who were never married, divorced/separated, or widowed. Care partners were often a spouse or partner (58%), or a family member (38%) who cared for someone living with dementia, with majority providing care on a daily basis (63%) (Figure 1B). Nearly half (45%) of the care partners indicated that they were the only care partner, with others receiving additional help from a spouse or partner, paid formal care partner, or another family member (Figure 1C). Some of the most common activities that care partners assist with and people living with dementia require assistance with instrumental activities of living (IADLs) include transportation (73%), shopping (69%), food preparation and feeding (64%), and housekeeping and laundry (63%). Fewer than half of care partners indicated that they assisted with activities of daily living such as dressing and grooming (45%) and toileting and bathing (30%) (Figure 1D).

Engagement with First Link Dementia Support Services

Participants were asked when they were first connected to First Link dementia support services in relation to their diagnosis or the diagnosis of the person they cared for (Figure 2A). Of those who were engaged with the services, the majority (53%) of care partners reported that they were connected within three months of a diagnosis of the person they cared for, and 78% were connected within a year. Likewise, 53% of people living with dementia were connected within three months, and 75% within a year. Most respondents indicated that they, or the person that they care for, were in the early (49%) or middle stage (42%) of dementia when they first connected with First Link. The early stage was defined in the survey as “barely noticeable symptoms and still managing self-care independently”, and the middle stage was defined as “needing support with cognitive or physical function, moderate symptoms, and needing some assistance with day-to-day activities”. At the time when participants completed the survey, 72% of respondents had been in contact with First Link for at least a year, with 28% in contact for over three years (Figure 2A). There were several ways that participants stay connected with First Link dementia support services, with the most common through bulletins, newsletters, support groups, and education workshops (Figure 2B).

 


 

FIGURE 2 Respondents’ connection with First Link: A) length of connection; B) methods of communication

Overall Evaluation of First Link Dementia Support Services for Care Partners and People Living with Dementia

Figure 3 outlines a detailed overview of participants’ experiences with First Link dementia support services. Participants were asked to answer to what degree they agreed or disagreed with given statements about their experiences with the services. Overall, participants were satisfied with First Link dementia support services (85%, 77%).

 


 

FIGURE 3 Experience of people with dementia and care partners with First Link dementia support services

Strengths

In regards to information and knowledge provided by First Link, many participants agreed or strongly agreed that they have learned more about dementia (89%, 89%), and that they have learned more about other supports and services in the community (88%, 77%). Participants felt that their questions and concerns were addressed (79%, 81%) and that the information was provided in a timely manner (77%, 81%).

Areas for Improvement

Experiences of support for emotional well-being were also evaluated through the survey. Only half of the participants felt that the services have helped them maintain their emotional well-being (54%, 53%), as well as helping reduce their stress (42%, 57%). Participants were given an opportunity to explain how the First Link dementia support services helped or did not help maintain their emotional well-being. Care partners expressed that they felt they were “not alone” in their situation as they were able to share experiences with one another. One participant commented: “To know you’re not alone. To have someone who understands what you are going through. There is comfort and safety in knowing others who are dealing with this too” (Care Partner 90, female). Other care partners spoke about learning to take care of themselves as well through First Link and how this has helped them manage: “[..] through encouraging me not to feel selfish or self-indulgent about trying to care for myself, and giving me some ideas how to do this” (Care Partner 103, female). Gaining knowledge about the dementia journey was another way care partners felt First Link contributed to their emotional well-being: “Education has helped me to develop strategies, support group has provided further education and the opportunity to connect with others in similar situations and the [First Link Helpline] has been a life line when I didn’t know where to go” (Care Partner 261, female). On the other hand, some participants did not find the services to be helpful and felt that there were limitations in supporting their mental well-being: “They do not tell you how to cope with the fear, worry, grief, frustration, anger or loneliness” (Care Partner 162, male).

Health-Care Provider Evaluation

The health-care provider sample was comprised primarily of Registered Nurses (35%), specialists (10%), occupational/physical therapists (10%), counsellors and therapists (5%), and family physicians (5%). The largest group of health-care providers referred their clients or patients to First Link at the time of the formal diagnosis (40%), while some others referred within three months of their clients’/patients’ diagnosis (23%), or even before a formal diagnosis was given (10%) (Figure 4). The majority of health-care providers indicated that they referred their clients/patients to First Link during the middle stage of dementia (72%).

 


 

FIGURE 4 Timeline of health-care providers’ referrals to First Link

Overall, most health-care providers were satisfied with First Link dementia support services (91%), and agreed or strongly agreed that it was easy to refer to the services (98%). We also asked them to what extent they agreed with statements related to mental health and emotional well-being. The majority agreed or strongly agreed that First Link helped their clients/patients cope with day-to-day symptoms of dementia (82%), helped reduce their clients’/patients’ stress (82%), helped establish social supports (79%), and helped maintain their clients’/patients’ emotional well-being (72%). Figure 5 provides a full overview of the health care providers’ evaluations of First Link.

 


 

FIGURE 5 Health-care providers’ experiences with First Link

DISCUSSION

The findings from this First Link evaluation provide insights into the experiences of people with lived experiences of dementia, their care partners, and their health-care providers. By engaging directly with these groups, we are able to uncover their specific needs in order to better support them. Our study population included people living with dementia who were mostly over the age of 70 and a majority of care partners who were over the age of 60. Given that many care partners in this study reported that they were a family member and were the sole care partner, it is likely that they had to attend to their own health and well-being while caring for a loved one. In addition to caring for themselves, care partners assisted people living with dementia with a variety of IADLs activities including transportation, shopping, food preparation, and housekeeping responsibilities, with many performing these duties on a daily basis. The value of having programs such as the First Link dementia support services is that they offer care and support to both people living with dementia and care partners.

A strength of First Link is that it provides information about dementia that allows people living with dementia and their care partners to easily access education and provides strategies to assist them in managing living with dementia, as well as access to supports in the community. The program was also effective in connecting with the community; the majority of respondents stated that they were connected with First Link within three months of a dementia diagnosis, and most people surveyed had been connected with the organization for at least one year. Health-care providers agreed that it was easy to refer to the service, and that the services were useful to their clients and patients, increased confidence around disease management, and helped clients and patients cope with disease symptoms.

Support for mental well-being was identified as a potential area of improvement. Specifically, respondents indicated that additional support could be provided to decrease feelings of isolation, reduce stress and burden, and help people living with dementia and their care partners cope better with the day-to-day symptoms of dementia. All three groups also agreed that the program was less helpful when it came to supporting individuals in living at home, maintaining physical well-being, and reducing reliance on acute care services. We understand that living with dementia is challenging, and an individual’s overall well-being may not improve significantly given the progression of the disease even with the support of programs and services such as those offered by First Link. The second phase of the evaluation will focus on understanding the ways in which existing and new services can better support the well-being of people with dementia and their care partners.

To compare to services in other communities, the NYU Caregiver Intervention has been found to delay long-term care home placement for people living with dementia.(33) This intervention focuses on enhancing social support to spouse/partner care partners consisting of individual and family counselling, support group participation, and ad-hoc counselling.(33) An education program developed by the San Diego-based Alzheimer’s Family Center showed improvements to care partners’ confidence, self-efficacy, and their levels of burden and stress.(34) Participating in these programs benefits care partners as they are better equipped to care for themselves and support the person living with dementia. An evidence-based training program for care partners, STAR-C based in Oregon, works to reduce care partner burden and depression, and has been reported to improve the quality of life of both people living with dementia and their care partners.(35,36)

We found that only around half of care partners and people living with dementia felt that the First Link programs and services supported their emotional well-being. However, nearly three-quarters of health-care providers felt this way about the same issue. Similar discrepancies between the views of clients and health-care providers were found around the program’s ability to help reduce the stress of care partners and people living with dementia, as well as helping increase their social supports. Exploring the different perspectives of those who connect with the same services allows us to learn about the actual and perceived experiences of this community. Similar to this finding, the inclusion of reports from people living with dementia and their care partners can reveal differences in their priorities in terms of care needs.(37) From this, it is important to engage diverse stakeholders in the evaluation process to capture a holistic picture of their experiences.

An effort was made to disseminate the surveys across the province to recruit a diverse sample to represent the different experiences of those affected by dementia. However, a majority of respondents indicated that they were Caucasian. In addition, many participants were clients of the Alzheimer Society of B.C. and were invited to participate by email. We acknowledge that this could reflect selection bias, as well as limiting the sample to participants who have access to an email address and internet connectivity in order to complete the survey. We have plans for a second phase of this program evaluation, where we will implement purposeful sampling for follow-up interviews to better understand the needs of those from various backgrounds. Our sample did not capture the experiences of both members of a given dyad, which could have led to discrepancies between the reports between people living with dementia and care partners. Future work could benefit from examining the experiences of both dyad members to uncover different levels of agreement in how care is delivered and received.

Ongoing evaluations of support programs and services are important to continually improve the quality of life for people living with dementia and their families. Using a survey instrument for a program evaluation can be beneficial, especially when repeated over time, as they can be distributed through existing channels and can provide data from a large sample. It is important to ask questions that go beyond a one-dimensional satisfaction measure in order to capture a detailed picture of the way the community can be better served. For example, our group recently explored the needs and experiences of people living with dementia and their care partners during the COVID-19 pandemic, and provided short-term and long-term actionable priorities for local programs and services to support the community.(38) As another example, researchers conducted an evaluation of an online psycho-education program, Tele-Savvy, through the perspectives of caregivers, revealed the need for better representation of different caregiver challenges that were included in the daily video sessions, as well as one-on-one contact with facilitators.(11,12)

A program evaluation that seeks to understand the experiences of key groups involved in the care of those living with dementia can provide valuable insights to inform the delivery of such services. The present findings are from the first phase of the overall evaluation and can be utilized by the Alzheimer Society of B.C. to improve areas of their programs and services offered. Potential improvements might include better access to support groups for clients in remote locations, an increased frequency of support calls, and greater overall access to online/virtual support groups and activities. The second phase of the study will further explore our present findings by conducting in-depth interviews with a sample of participants who completed the survey.

This work shows the tangible and specific benefits made possible by program evaluation of dementia support services. Moving forward, Canadian programs and services dedicated to support those living with dementia and care partners should consider embedding evaluation paradigms to ensure that current needs are addressed as they evolve.

ACKNOWLEDGEMENTS

We would like to acknowledge the Alzheimer Society of B.C., our advisory board members Barbara Lindsay, Michele McCabe, Jennifer Stewart, Judy Illes, Mario Gregorio, and Myrna Norman, and research members of the Neuroscience, Engagement, and Smart Technology (NEST) Lab and of Neuroethics Canada for their support and contributions during the development and piloting of the survey instrument.

CONFLICT OF INTEREST DISCLOSURES

We have read and understood the Canadian Geriatrics Journal’s policy on conflicts of interest disclosure and declare there are no conflicts of interest.

FUNDING

This work was funded by the Alzheimer Society of B.C.

REFERENCES

1 Brodaty H, Donkin M. Family caregivers of people with dementia. Dialogue Clin Neurosci. 2009;11(2):12.
cross-ref  

2 Campbell P, Wright J, Oyebode J, et al. Determinants of burden in those who care for someone with dementia. Int J Geriatr Psychiatry. 2008;23(10):1078–85.
cross-ref  pubmed  

3 Schulz R, Martire LM. Family caregiving of persons with dementia: prevalence, health effects, and support strategies. Am J Geriatr Psychiatry. 2004;12(3):240–49.
cross-ref  pubmed  

4 Conn DK, Madan R, Lam J, Patterson T, Skirten S. Program evaluation of a telepsychiatry service for older adults connecting a university-affiliated geriatric center to a rural psychogeriatric outreach service in Northwest Ontario, Canada. Int Psychogeriatr. 2013;25(11):1795–800.
cross-ref  pubmed  

5 Ito Y, Urakami K. Evaluation of dementia-prevention classes for community-dwelling older adults with mild cognitive impairment. Psychogeriatrics. 2012;12(1):3–10.
cross-ref  pubmed  

6 Kinney JM, Kart CS, Reddecliff L. ‘That’s me, the Goother’: evaluation of a program for individuals with early-onset dementia. Dementia. 2011;10(3):361–77.
cross-ref  

7 Heisz JJ, Kovacevic A, Clark IB, Vandermorris S. Evaluation of a community-based exercise program for managing Alzheimer’s disease. J Am Geriatr Soc. 2016;64(4):884–86.
cross-ref  pubmed  

8 Steinberg M, Leoutsakos JM, Podewils LJ, Lyketsos CG. Evaluation of a home-based exercise program in the treatment of Alzheimer’s disease: the Maximizing Independence in Dementia (MIND) study. Int J Geriatr Psychiatry. 2009;24(7):680–85.
cross-ref  

9 MacPherson S, Bird M, Anderson K, Davis T, Blair A. An art gallery access programme for people with dementia: ‘You do it for the moment.’ Aging Ment Health. 2009;13(5):744–52.
cross-ref  pubmed  

10 Graff MJL, Vernooij-Dassen MJM, Thijssen M, et al. Community based occupational therapy for patients with dementia and their care givers: randomised controlled trial. BMJ. 2006;333(7580):1196.
cross-ref  pubmed  pmc  

11 Griffiths PC, Kovaleva M, Higgins M, Langston AH, Hepburn K.Tele-Savvy: an online program for dementia caregivers. Am J Alzheimers Dis Other Dement. 2018;33(5):269–76.
cross-ref  

12 Kovaleva M, Blevins L, Griffiths PC, Hepburn K. An online program for caregivers of persons living with dementia: lessons learned. J Appl Gerontol. 2019;38(2):159–82.
cross-ref  

13 Gitlin LN, Jacobs M, Earland TV. Translation of a dementia caregiver intervention for delivery in homecare as a reimbursable Medicare service: outcomes and lessons learned. The Gerontologist. 2010;50(6):847–54.
cross-ref  pubmed  pmc  

14 Gallagher E, Hagen B. Outcome evaluation of a group education and support program for family caregivers. Gerontol Geriatr Educ. 1996;17(1):33–50.
cross-ref  

15 Glueckauf RL, Ketterson TU, Loomis JS, Dages P. Online support and education for dementia caregivers: overview, utilization, and initial program evaluation. Telemed J E-Health. 2004;10(2):223–32.
cross-ref  pubmed  

16 Glueckauf RL, Loomis JS. Alzheimer’s caregiver support online: lessons learned, initial findings and future directions. NeuroRehabilitation. 2003;18(2):135–46.
cross-ref  pubmed  

17 Kuo L-M, Huang H-L, Huang H-L, et al. A home-based training program improves Taiwanese family caregivers’ quality of life and decreases their risk for depression: a randomized controlled trial. Int J Geriatr Psychiatry. 2013;28(5):504–13.
cross-ref  

18 Kurz A, Wagenpfeil S, Hallauer J, Schneider-Schelte H, Jansen S. Evaluation of a brief educational program for dementia carers: The AENEAS Study. Int J Geriatr Psychiatry. 2010;25(8):861–69.
cross-ref  

19 Lewis ML, Hobday JV, Hepburn KW. Internet-based program for dementia caregivers. Am J Alzheimers Dis Other Dement. 2010;25(8):674–79.
cross-ref  

20 Mavandadi S, Wray LO, DiFilippo S, Streim J, Oslin D. Evaluation of a telephone-delivered, community-based collaborative care management program for caregivers of older adults with dementia. Am J Geriatr Psychiatry. 2017;25(9):1019–28.
cross-ref  pubmed  

21 Roberts JS, Silverio E. Evaluation of an education and support program for early-stage Alzheimer’s disease. J Appl Gerontol. 2009;28(4):419–35.
cross-ref  

22 Ducharme F, LéVesque L, Gendron M, Legault A. Development process and qualitative evaluation of a program to promote the mental health of family caregivers. Clin Nurs Res. 2001;10(2):182–201.
cross-ref  

23 Martín-Carrasco M, Martín MF, Valero CP, et al. Effectiveness of a psychoeducational intervention program in the reduction of caregiver burden in Alzheimer’s disease patients’ caregivers. Int J Geriatr Psychiatry. 2009;24(5):489–99.
cross-ref  

24 Borbasi S, Emmanuel E, Farrelly B, Ashcroft J. Report of an evaluation of a nurse-led dementia outreach service for people with the behavioural and psychological symptoms of dementia living in residential aged care facilities. Perspect Public Health. 2011;131(3):124–30.
cross-ref  pubmed  

25 Cooke M, Moyle W, Venturato L, Walters C, Kinnane J. Evaluation of an education intervention to implement a capability model of dementia care. Dementia. 2014;13(5):613–25.
cross-ref  

26 Hobday JV, Savik K, Smith S, Gaugler JE. Feasibility of internet training for care staff of residents with dementia: the CARES program. J Gerontol Nurs. 2010;36(4):13–21.
cross-ref  pubmed  pmc  

27 Kang Y, Moyle W, Cooke M, O’Dwyer S. Qualitative evaluation of a delirium prevention and management programme. J Clin Nurs. 2017;26(23–24):4574–82.
cross-ref  pubmed  

28 Macdonald CJ, Stodel EJ, Casimiro L. Online dementia care training for healthcare teams in continuing and long-term care homes: a viable solution for improving quality of care and quality of life for residents. Int J E-Learn. 2006;5(3):373–99.

29 Wang Y, Xiao LD, Ullah S, He GP, De Bellis A. Evaluation of a nurse-led dementia education and knowledge translation programme in primary care: a cluster randomized controlled trial. Nurse Educ Today. 2017;49:1–7.
cross-ref  

30 Clare L, Wilson BA, Carter G, Breen K, Berrios GE, Hodges JR. Depression and anxiety in memory clinic attenders and their carers: implications for evaluating the effectiveness of cognitive rehabilitation interventions. Int J Geriatr Psychiatry. 2002;17(10):962–67.
cross-ref  pubmed  

31 Gonyea JG, O’Connor M, Carruth A, Boyle PA. Subjective appraisal of Alzheimer’s disease caregiving: the role of self-efficacy and depressive symptoms in the experience of burden. Am J Alzheimers Dis Other Dement. 2005;20(5):273–80.
cross-ref  

32 Wickham H. ggplot2: Elegant Graphics for Data Analysis, 2nd ed. NY: Springer International Publishing; 2016.
cross-ref  

33 Gaugler JE, Reese M, Mittelman MS. Effects of the NYU caregiver intervention-adult child on residential care placement. The Gerontologist. 2013;53(6):985–97.
cross-ref  pubmed  pmc  

34 Devor M, Renvall M. An educational intervention to support caregivers of elders with dementia. Am J Alzheimers Dis Other Dement. 2008;23(3):233–41.
cross-ref  

35 Lindauer A, Croff R, Mincks K, et al. “It took the stress out of getting help”: the STAR-C-Telemedicine mixed methods pilot. Care Wkly. 2018;2:7–14.
pmc  

36 McCurry SM, Logsdon RG, Mead J, et al. Adopting evidence-based caregiver training programs in the real world: outcomes and lessons learned from the STAR-C Oregon translation study. J Appl Gerontol. 2017;36(5):18.
cross-ref  

37 McIlvane JM, Popa MA, Robinson B, Houseweart K, Haley WE. Perceptions of illness, coping, and well-being in persons with mild cognitive impairment and their care partners. Alzheimer Dis Assoc Disord. 2008;22(3):284–92.
cross-ref  pubmed  

38 Tam MT, Dosso JA, Robillard JM. The impact of a global pandemic on people living with dementia and their care partners: analysis of 417 lived experience reports. J Alzheimers Dis. 2021; 80(2):865–75.
cross-ref  pubmed  pmc  


Correspondence to: Julie M. Robillard, PhD, Department of Medicine, Division of Neurology, The University of British Columbia, Koerner Pavilion, UBC Hospital S124, 2211 Wesbrook Mall, Vancouver, BC V6T 2B5, E-mail: jrobilla@mail.ubc.ca

(Return to Top)


Canadian Geriatrics Journal, Vol. 25, No. 2, June 2022