Utilization of Health Services Before and After Diagnosis in a Specialist Rural and Remote Memory Clinic

Julie G. Kosteniuk, PhD1, Debra G. Morgan, PhD1, Beliz Acan Osman, MA2, Naorin Islam, MSc3, Megan E. O’Connell, PhD4, Andrew Kirk, MD, FRCPC5, Jacqueline M. Quail, PhD2, Meric Osman, MA6

1Canadian Centre for Health & Safety in Agriculture, University of Saskatchewan, Saskatoon
2Saskatchewan Health Quality Council, Atrium Building, Innovation Place, Saskatoon
3College of Pharmacy and Nutrition, University of Saskatchewan, Saskatoon
4Department of Psychology, University of Saskatchewan, Saskatoon
5Department of Medicine, University of Saskatchewan, Saskatoon
6Saskatchewan Medical Association, Saskatoon, SK, Canada

DOI: https://doi.org/10.5770/cgj.26.653

ABSTRACT

Background

Limited research exists on the use of specific health services over an extended time among rural persons with dementia. The study objective was to examine health service use over a 10-year period, five years before until five years after diagnosis in the specialist Rural and Remote Memory Clinic (RRMC).

Methods

Clinical and administrative health data of RRMC patients were linked. Annual health service utilization of the cohort (N = 436) was analyzed for 416 patients pre-index (57.5% female, mean age 71.2 years) and 419 post-index (56.3% female, mean age 70.8 years). Approximately 40% of memory clinic diagnoses were Alzheimer’s disease (AD), 20% non-AD dementia, and 40% mild or subjective cognitive impairment or other condition. Post-index, 188 patients (44.9%) moved to permanent long-term care and were retained in the sample; 121 patients died (28.9%) and were removed yearly.

Results

Over the ten-year study period, a significant increase occurred in the average number of FP visits, all-type drug prescriptions, and dementia-specific drug prescriptions (all p <.001). The highest proportion of patients hospitalized was observed one year pre-index, the highest average number of specialist visits was observed one year post-index, and both demonstrated a significant decreasing trend in the five-year post-index period (p = .037).

Conclusions

A pattern of increasing FP visits and drug prescriptions over an extended period before and after diagnosis in a specialist rural and remote memory clinic highlights a need to support FPs in post-diagnostic management. Further research of longitudinal patterns in health service utilization is merited.

Key words: rural health, dementia, Alzheimer’s disease, physicians, hospitals, drug prescriptions, retrospective studies, health services research

INTRODUCTION

In Canada, an estimated 597,000 adults aged 65 years and older live with diagnosed dementia.(1) The actual number may be much higher, as an estimated 75% of people with dementia globally are considered undiagnosed.(2) Dementia and other age-related health conditions are important issues in rural Canada (outside centres of 10,000+) where the population is increasingly aging.(3)

Persons living with dementia require more care over time as the condition progresses, and higher levels of care overall than older adults without dementia. A recent review found dementia increased the risk of hospitalization by an estimated 42%, due partly to older age, comorbidities, and polypharmacy.(4) Dementia has also been found to increase hospital stay by 1.3–2 times among Canadians.(5) Higher rates of family physician and dementia specialist visits are associated with dementia in Canada(6) and Germany,(7) and with Alzheimer’s disease (AD) in the United Kingdom.(8) Recent reviews found polypharmacy prevalence rates (five or more medications concurrently) ranging from 25–98% among persons with dementia or cognitive impairment(9) and potentially inappropriate prescribing rates of 24–60% among persons with dementia.(10)

For rural older adults living with dementia, barriers to accessing appropriate health services and supports present challenges. With small populations, an aging workforce, and ongoing recruitment and retention difficulties,(3) rural communities are often unable to offer specialized health and social care (e.g., housing, end-of-life care).(11) Rural family physicians may have limited experience and knowledge about dementia diagnosis and management, and low access to geriatric specialists and few local resources, yet must provide care regardless.(12) Our previous research found that, for caregivers of patients seen in a specialist rural and remote memory clinic, a diagnosis provided important benefits that helped them move forward, including a sense of relief, validation, information on prognosis, and greater awareness of services.(13) However, research is limited on the use of specific health services over an extended duration among rural people with dementia. In this study, we linked clinical and administrative health data to assess patterns in annual health service use (physician visits, hospitalization, and drug prescriptions) five years before until five years after diagnosis in the specialist Rural and Remote Memory Clinic (RRMC).

METHODS

Study Design and Setting

A retrospective observational cohort study was used to examine annual rates of health service use five years before until five years after diagnosis in the specialist Rural and Remote Memory Clinic (RRMC) at the University of Saskatchewan in Saskatoon. The clinical and sociodemographic data of patients who received a RRMC diagnosis between March 1 2004 and July 4 2016 were linked to administrative health data from March 1 1999 to June 2020 using unique identifiers based on personal health service numbers.

Written informed consent for the use of clinical data for research was given by patients and proxies. Ethics approval from the University of Saskatchewan Biomedical Ethics Research Board was received separately for the ongoing RRMC study and this retrospective cohort study. This study was made possible by a data sharing agreement between the University of Saskatchewan and the Saskatchewan Health Quality Council, Ministry of Health, and eHealth. Study reporting follows the Strengthening the Reporting of Observational Studies in Epidemiology (STROBE) recommendations.(14)

Study Population

The RRMC was implemented in 2004 to increase access to dementia specialists and reduce repeated travel specifically for the rural and remote population (hereafter, rural/remote), defined for the purposes of the RRMC as persons living more than 100 km from the two tertiary care centres in Saskatchewan(15,16) (where 89% of specialists practice).(17) The RRMC offers diagnosis and management of suspected dementia in rural/remote individuals who would benefit from specialist involvement and an interdisciplinary team assessment. Despite the intended focus, AD is a common reason for referral to the RRMC, which indicates a need among rural/remote health professionals for specialist support related to AD diagnosis.(18) Funded initially by the Canadian Institutes of Health Research as a demonstration project, the provincial government began funding the RRMC in 2009 as a clinical resource. The RRMC database, consisting of baseline and limited follow-up clinical data, is a useful research resource that has been used in several publications on multiple topics (e.g., neuropsychological assessment, medication use).(15)

RRMC patients were non-institutionalized adults living more than 100 km outside the two major Saskatchewan cities where 50% of the province’s 1.13 million population resides.(19) Patients were referred by primary health professionals or specialists for a one-day, in-person interdisciplinary evaluation. The RRMC focus is diagnosis and management of suspected dementia; however, it is possible some patients had a previous dementia diagnosis. Our previous investigation of referral letters in the first five years of the RRMC mainly identified requests for: confirmation of diagnosis or treatment, management suggestions, assessment by patient or family request, and consultation for difficult or complex issues such as development or worsening of symptoms.(20) RRMC evaluation included a CT head scan, blood work, and assessments by a clinical team comprised of neurology, neuropsychology, physical therapy, and nursing. Patients and caregivers participated in interdisciplinary interviews and completed questionnaires consisting of sociodemographic and clinical measures, which were entered into the RRMC database. Diagnosis and treatment recommendations were provided at clinic day end. Follow-up data were not included in the study; however, follow-up was provided to all patients on an as-needed basis by the clinic neurologist via telehealth, at one year in person in the RRMC to all patients, and after one-year in person in the RRMC for a segment of patients. Further details are available in Morgan et al.(15,16)

Between March 2004 and July 2016, the RRMC enrolled 544 patients (Appendix A). Clinical and administrative health data were linked for 436 patients after excluding those who did not have a health service number (n = 47), had not yet been assessed in clinic (n = 9), or did not complete a clinic questionnaire (n = 52).

The index date for each patient was the date of their RRMC evaluation and diagnosis. After data linkage, study eligibility was determined based on continuous health insurance coverage with less than three-day gaps in the pre-index or post-index periods. Coverage was determined separately for the two periods due to the small sample, and post-index coverage was calculated only for patients who were alive at post-index end (i.e., study end). Patients admitted to permanent long-term care between their index date and study end were retained in the study. However, patients who died each post-index year were removed the following year. Therefore, we used a pre-index cohort (N = 416 every year) and a post-index cohort (N = 419 at one year, N = 407 at two years, N = 390 at three years, N = 363 at four years, N = 333 at five years) of which 413 were the same individuals in both cohorts.

Data Sources and Measures

Unique identifiers based on personal health service numbers were applied to RRMC data (8th data release, 2017) at eHealth Saskatchewan in August, 2020. Linkage and analysis of the RRMC and administrative health data were conducted at Saskatchewan Health Quality Council. Administrative health data sources included the Person Health Registration System, Medical Services Database, Hospital Discharge Abstract Database, Prescription Drug Plan Database, Institutional Supportive Care System Database and Supportive Care Home System (Appendix B).

The date of RRMC evaluation and diagnosis was the index date for each patient. Annual health service utilization measures derived from administrative health data included physician use (FP visits, specialist visits, and FP and specialist diagnoses), hospital use (hospitalization, 30-day hospital readmission, length of stay, discharge destination), and prescription drug dispensations (all-type, dementia-specific, and non-dementia). All specialties other than family medicine were included as specialists. To identify the most frequent physician visit and hospital admission codes for RRMC patients, International Classification of Disease (ICD-9 and ICD-10) and Medical Services Branch codes were identified in the Medical Services Database and Hospital Discharge Abstracts Database.

We used the RRMC database to derive sociodemographic and clinical characteristics (Appendix C and Appendix D). Sociodemographic characteristics included age, sex, education (years), marital status, living alone (vs. not living alone), primary income source, metropolitan influenced zone (MIZ), and kilometers from patient’s home community to the RRMC. Clinical measures included RRMC diagnosis following Canadian Consensus Conference on the Diagnosis and Treatment of Dementia guidelines,(21) measures as described in Appendix C, and self-reported health conditions (e.g., arthritis), physical activity or exercise (times/week), and alcohol drinks (number week).

Statistical Analysis

Descriptive statistics were used to measure annual health service utilization. For each pre- and post-index year, we calculated the frequency and proportion of patients using a service at least once (FP visits, specialist visits, prescription drug dispensations), mean number of uses and 95% confidence intervals; frequency and proportion of patients with at least one hospitalization and 30-day readmission; and mean hospital length of stay (total, acute, and alternate) and 95% confidence intervals. Significant associations between health service use and time were measured with the Spearman correlation coefficient (p < .05). Significant differences in average health service use between the pre-index and post-index periods were identified with the t-test for means (p < .05) and Wilcoxon ranked test for proportions (p < .05).

Frequencies and means were used to analyze sociodemographic and clinical characteristics for pre- and post-index periods. For each post-index year, we calculated the frequency and proportion of patients who were admitted to permanent long-term care and who died. For each pre- and post-index period, we calculated the frequency of all diagnoses based on International Classification of Disease (ICD) and Medical Services Branch codes and proportion represented by each diagnosis, and the frequency of all hospital discharge destinations and proportion represented by each destination.

RESULTS

Sociodemographic and clinical characteristics of RRMC pre- and post-index samples are shown in Appendix D. Average age was 71 years (SD, 11). The majority were female (56.3–57.5%) and married (72.2–72.3%). AD accounted for almost 40% of RRMC diagnoses (37.9–38.8%), with other diagnoses including subjective cognitive impairment (22.9–23.3%), non-AD dementia (20.4–20.5%), mild cognitive impairment (15.2–15.3%), and other conditions (2.7–3.1%). A majority self-reported health conditions of arthritis or hypertension. Post-index, 188 patients (44.9%) moved to permanent long-term care and remained in the study, and 121 patients died and were removed from the study (28.9%) (Appendix E).

Health Service Use

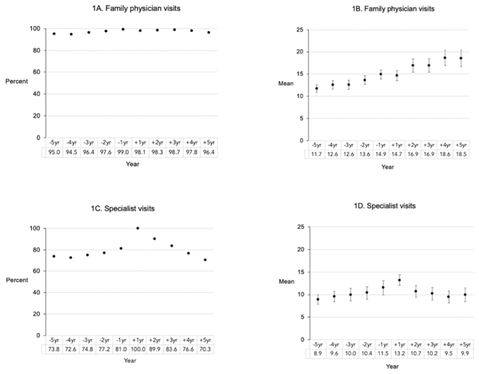
Over the pre-index period, the proportion of patients with at least one FP visit annually increased (p = .037), as did the average number of FP visits annually (p = .005; Figure 1, Table 1). Over the 10-year period, the average number of FP visits increased (p < .001) and was higher overall in the post-index than pre-index (p < .002; Table 2). Across the pre-index period, increases occurred in the proportion of patients with at least one specialist visit each year (p = .037) and average number of specialist visits annually (p < .001; Figure 1, Table 1). The highest average number of specialist visits was observed at one year post-index. Over the post-index period, decreases occurred in the proportion of patients with at least one specialist visit (p < .001) and average number of specialist visits (p = .037). Considering the top 10 most frequent diagnoses during pre- and post-index separately, dementia ranked 6th in the pre-index for FP visits (2.8% of diagnoses) but did not rank in the top 10 for specialist visits or hospitalizations (data not shown). Post-index, dementia ranked in the top 10 diagnoses for each health service, accounting for 23.2% of FP diagnoses, 29.4% of specialist diagnoses, and 4.3% of diagnoses most responsible for hospital admission.

 


 

FIGURE 1 Family physician (FP) and specialist visits, pre- and post-index: A. Family physician visits (proportion); B. Family physician visits (mean); C. Specialist visits (proportion); D. Specialist visits (mean)

TABLE 1 Association between health service use and time (10-year combined, pre-index, and post-index periods)

 

TABLE 2 Mean comparisons of health service use in pre-index vs. post-index periodsa

 

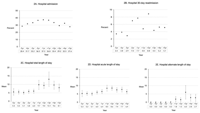
The proportion of patients hospitalized at least once each year increased over the pre-index period (p < .001) to the highest point at one year pre-index, and decreased over the post-index period (p = .037; Figure 2, Table 1). Across the 10-year period, average length of hospital stay each year increased in terms of total days (p = .008), acute care days (p = .023), and alternate level of care days (p < .001). Overall, the average length of hospital stay was higher in the post-index than pre-index (p < .001; Table 2). Home settings constituted 92.8% of all hospital discharge destinations during pre-index and 72.8% during post-index (data not shown). Institutional settings accounted for 6.2% of all destinations in pre-index and 21.8% in post-index. During the pre-index period, institutional settings to which patients were transferred were facilities providing inpatient hospital care (e.g., other acute facilities, rehabilitation). In the post-index period, institutional settings included long-term care or residential care (e.g., nursing home, hospice/palliative care), as well as hospital facilities.

 


 

FIGURE 2 Hospital services, pre- and post-index: A. Hospital admission (proportion); B. Hospital 30-day readmission (proportion); C. Hospital total length of stay (days); D. Hospital acute length of stay (days); E. Hospital alternate length of stay (days)

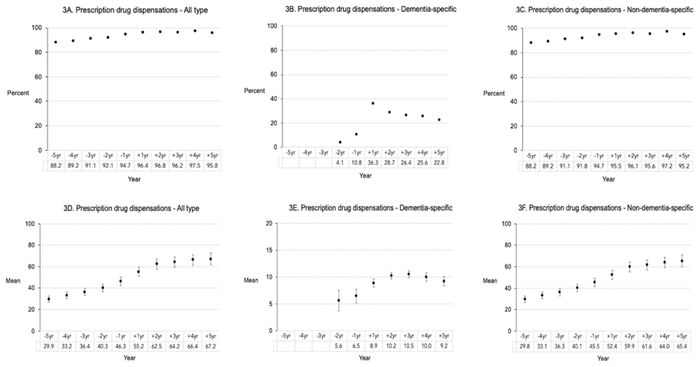
Over the pre-index and 10-year period, increases occurred in the proportion of patients each year receiving at least one all-type drug prescription (p < .001 and p = .002, respectively) and at least one dementia-specific drug prescription (p = .041 and p = .014, respectively) (Figure 3, Tables 1 and 2). One or more dementia-specific drug prescriptions were given to 4.1% of patients at two years pre-index, increasing until one year post-index (36.3%). Over the post-index period, the proportion of patients receiving dementia-specific drug prescriptions decreased (p < .001). Over the pre-index, post-index, and 10-year period, increases occurred in the average number of all-type drug prescriptions per patient each year (all p < .001). In terms of dementia-specific drug prescriptions, the overall average number increased over the pre-index (p = .041) and 10-year period (p < .001). Overall, the proportion of patients receiving all-type and dementia-specific drug prescriptions, and the average number of prescriptions per patient, were higher in the post-index than pre-index (Table 2).

 


 

FIGURE 3 Prescription drug dispensations, pre- and post-index: A. Prescription drug dispensations – All type (proportion); B. Prescription drug dispensations – Dementia-specific (proportion); C. Prescription drug dispensations – Non-dementia-specific (proportion); D. Prescription drug dispensations – All type (mean); E. Prescription drug dispensations – Dementia-specific (mean); F. Prescription drug dispensations – Non-dementia-specific (mean)
In 3B and 3E, prior to 2yr pre-index, the number of patients receiving dementia-specific drug dispensations were ≤ 6 each year and are not shown.

DISCUSSION

In this retrospective cohort study, we linked administrative health and clinical data of patients referred with suspected dementia to a rural/remote interdisciplinary specialist memory clinic, to examine patterns in annual health service use five years before until five years after memory clinic diagnosis. Our study adds to the literature by demonstrating that health service usage among rural/remote patients began to gradually increase as early as four years before memory clinic diagnosis, in terms of average number of family physician and specialist visits, proportion admitted to hospital, and all-type drug prescriptions (average number and proportion). Over the combined 10-year period, significant increases occurred in the average number of FP visits, all-type drug prescriptions, and dementia-specific drug prescriptions. Moreover, the highest proportion of patients hospitalized was observed one year before memory clinic diagnosis and the highest average number of specialist visits was observed one year after diagnosis, and both demonstrated a significant decreasing trend in the five-year period after diagnosis.

As early as four years leading up to memory clinic diagnosis, we observed incremental increases in the average number of FP and specialist visits, and in the proportion of RRMC patients hospitalized. Findings from other studies examining health service usage during three years before diagnosis were mixed, with UK(8) and US(22) studies of AD patients (mean age 79.9 yr in both) demonstrating a stable pattern in the number of GP or outpatient visits until an increase six months pre-diagnosis. Our results are consistent with a US study by Albrecht et al.(23) that reported increased outpatient visits over the three-year period before diagnosis. Albrecht and colleagues further reported variation by dementia subtype with visits highest in the vascular dementia subtype and lowest in AD, compared with MCI. Our previous research reported greater depressive symptoms and caregiver psychological distress among RRMC young-onset dementia compared to late-onset dementia patients,(24) and greater levels of previous psychiatric illness, depressive symptoms, and sleep concerns in subjective cognitive impairment patients compared to other patients.(25) In the present study, younger age and symptoms of suspected dementia possibly intensified the frequency of physician visits with memory clinic diagnosis delayed as patients waited for a RRMC referral. Low availability of rural/remote dementia-specific supports and community resources to assist FPs with diagnosis (e.g., multidisciplinary teams) and FP diagnostic uncertainty(12) may have contributed to prolonged increased health-care utilization. Similar to our findings regarding hospitalization before memory clinic diagnosis, a gradual increase in the proportion of AD patients hospitalized at least once annually was also observed for most of the duration leading up to diagnosis in previous studies with pre-diagnosis periods of three to five years.(8,26,27) Most RRMC patients previously reported first noticing symptoms two years before memory clinic diagnosis(13) and hospitalization may have prompted a RRMC referral where assessment wait times have historically been as long as 12 months.

While it may seem surprising that a small number of RRMC patients were prescribed dementia-specific drugs as early as two years before memory clinic diagnosis, a previous study of RRMC patients seen between 2004 and 2015 found 14% were taking a cholinesterase inhibitor before assessment.(28) Lengthy wait times for RRMC appointments may have contributed to primary care providers prescribing medication to address symptoms in the interim. Considering all-type drug prescriptions, the average number of prescriptions and proportion of RRMC patients receiving prescriptions began to increase four years before memory clinic diagnosis, congruent with a Finnish study that showed an increasing pattern in the percentage of AD patients purchasing any prescription drugs over the five-year period leading up to diagnosis.(26) Although we did not examine the number of drugs prescribed or used concurrently, the annual average after memory clinic diagnosis (63.1) suggests possible potentially inappropriate prescriptions, which are associated with increased risk of adverse drug reactions and mortality.(29)

Over the combined 10-year period of this study, we found significant increases in the average number of FP visits as well as proportion and average number of all-type and dementia-specific drug prescriptions. Other studies with a post-diagnosis duration of at least one year showed varying patterns, with a German study of rural patients showing an increase in primary care physician visits from one year before until one year after dementia diagnosis,(30) and a UK study demonstrating an average number of GP visits in the one-year period after AD diagnosis similar to the three-year period before.(8) The varied diagnoses and atypical presentations of RRMC patients may have contributed to increasingly frequent FP visits as their condition progressed, as new signs and symptoms among people with atypical presentations tend to appear over time and the suspected cause of dementia changes.(2) Our findings underscore the key role of FPs in providing dementia care over the course of the illness, which Canadian recommendations suggest involves prevention, timely diagnosis, and post-diagnosis management including pharmacologic and nonpharmacologic treatment, management of co-occurring conditions, care coordination, caregiver support, and other functions.(31) Rural FPs may have limited capacity and local resources to provide dementia care, however they are often generalists with a broad scope of practice and require a range of knowledge and skills to serve their communities.(32)

We observed the highest proportion of hospitalized patients one year before memory clinic diagnosis and the highest average number of specialist visits one year after diagnosis, with a significant decreasing trend in both over the five-year period after diagnosis. In the absence of studies of comparable long duration, a German study demonstrated a decreasing number of specialist visits (dementia specialists visited by rural patients) over the one-year period after diagnosis.(30) Studies with separate pre- and post-diagnosis durations of at least one year revealed varying patterns in the proportion of patients hospitalized, with a US study showing an increasing trend during the one-year period before diagnosis and a declining trend in the one-year post-diagnosis period,(33) a UK(8) study demonstrating the highest proportion six months pre-diagnosis and a stable pattern during the one-year period after diagnosis, and a Finnish study(26) demonstrating the highest proportion six months post-diagnosis and a decreasing pattern during the two-year post-diagnosis period. In this study, 8–10% of patients were admitted to permanent long-term care after memory clinic diagnosis (retained in the sample), which possibly contributed to decreased demand for or undersupply of specialized and acute medical care.(34) The location of RRMC patients was likely also a factor in decreasing use as travel to urban centres where most specialists practice can be difficult for people with progressive cognitive and functional decline.

Limitations and Strengths

The interdisciplinary clinical diagnosis of RRMC patients based on Canadian guidelines is a strength of this study, as is consideration of health service usage over 10 years which is beyond the time frame of most studies. It should be noted approximately 40% of patients received a memory clinic diagnosis other than AD or non-AD, specifically a diagnosis of mild cognitive impairment, subjective cognitive impairment, or other condition. Moreover, it is possible that some patients received a dementia diagnosis by a health professional prior to the specialist RRMC evaluation. Therefore, this study does not necessarily reflect patterns corresponding to first dementia diagnosis. For RRMC patients assessed in 2016 (n = 13), only four years of data were available; thus service use in five years post-index may have been marginally underestimated. Patients admitted to permanent long-term care after memory clinic diagnosis were retained which possibly resulted in an underestimation of some services (e.g., specialist and inpatient care). As part of this study, we considered the top 10 most frequent diagnoses during physician visits and hospitalization; however, an in-depth exploration of reasons for visits was outside the scope of the study. Investigation of sex and gender differences in people with dementia and other neurodegenerative disorders is also important; however, we did not conduct sex-based or diagnosis subtype analysis due to time and resource constraints, which limits interpretation.

CONCLUSIONS

Our study showed a pattern of increasing usage of certain health services (FP and specialist visits, hospital admission, all-type drug prescriptions) as early as four years before diagnosis in a rural/remote specialist memory clinic. Regarding average number of FP visits, all-type drug prescriptions, and dementia-specific drug prescriptions, an increasing pattern occurred across the 10-year study period. Regarding average number of specialist visits and proportion hospitalized, a decreasing pattern occurred in the five-year time span after diagnosis. Given the ongoing role of FPs for memory clinic patients and in light of a limited rural/remote FP supply, there is a pressing need to provide support in post-diagnostic management with more training, community resources, and inclusion of other health professionals in dementia care. Future studies should further investigate reasons for health service use of memory clinic patients. Longitudinal patterns in health service usage should also be examined— for instance, by extending the observation period and examining the impact of sociodemographic and clinical factors such as sex, dementia subtype, and co-morbidity on patterns.

ACKNOWLEDGEMENTS

We would like to thank the leadership and staff of Saskatchewan Health Quality Council for supporting this research and Jagmeet Bajwa for data analysis contributions.

CONFLICT OF INTEREST DISCLOSURES

We have read and understood the Canadian Geriatrics Journal’s policy on conflicts of interest disclosure and declare that we have none.

FUNDING

Funding was provided by a Canadian Institutes of Health Research (CIHR) Foundation Grant to DGM (grant number 148444) and the Canadian Consortium on Neurodegeneration in Aging (CCNA). CCNA is supported by a grant from the Canadian Institutes of Health Research and funding for CCNA Team 15 is provided by several partners including the Saskatchewan Health Research Foundation, the Alzheimer Society of Canada, and the Centre for Aging and Brain Health. Saskatchewan Health Quality Council employed BAO and JMQ and contributed in-kind portions of their time for this project.

REFERENCES

1 Alzheimer Society of Canada. Navigating the path forward for dementia in Canada: the landmark study report #1. Toronto, ON; 2022. [cited 2023 Feb 15]. Available from: https://alzheimer.ca/en/research/reports-dementia/landmark-study-report-1-path-forward

2 Gauthier S, Rosa-Neto P, Morais JA, Webster C. World Alzheimer Report 2021: journey through the diagnosis of dementia. London: Alzheimer’s Dis Int; 2021.

3 Ford DM. Four persistent rural healthcare challenges. Healthc Manage Forum. 2016 Nov;29(6):243–46.
cross-ref  pubmed  

4 Shepherd H, Livingston G, Chan J, Sommerlad A. Hospitalisation rates and predictors in people with dementia: a systematic review and meta-analysis. BMC Med. 2019 Dec;17(1):1–3.
cross-ref  

5 Canadian Institute for Health Information. Dementia in Canada—Summary. Ottawa: CIHI; 2018. [cited 2023 Feb 15]. Available from: https://www.cihi.ca/en/dementia-in-canada

6 Bronskill SE, Maclagan LC, Walker JD, Guan J, Wang X, Ng R, et al. Trajectories of health system use and survival for community-dwelling persons with dementia: a cohort study. BMJ Open. 2020 Jul 1;10(7):e037485.
cross-ref  pubmed  pmc  

7 Eisele M, Van Den Bussche H, Koller D, Wiese B, Kaduszkiewicz H, Maier W, et al. Utilization patterns of ambulatory medical care before and after the diagnosis of dementia in Germany—results of a case-control study. Dement Geriatr Cogn Disord. 2010;29(6):475–83.
cross-ref  pubmed  

8 Chen L, Reed C, Happich M, Nyhuis A, Lenox-Smith A. Health care resource utilisation in primary care prior to and after a diagnosis of Alzheimer’s disease: a retrospective, matched case–control study in the United Kingdom. BMC Geriatr. 2014 Dec;14(1):1–9.
cross-ref  

9 Hukins D, Macleod U, Boland JW. Identifying potentially inappropriate prescribing in older people with dementia: a systematic review. Eur J Clin Pharmacol. 2019 Apr 9;75(4):467–81.
cross-ref  pubmed  

10 Delgado J, Bowman K, Clare L. Potentially inappropriate prescribing in dementia: a state-of-the-art review since 2007. BMJ Open. 2020 Jan 1;10(1):e029172.
cross-ref  pubmed  pmc  

11 Menec V, Bell S, Novek S, Minnigaleeva GA, Morales E, Ouma T, et al. Making rural and remote communities more age-friendly: experts’ perspectives on issues, challenges, and priorities. J Aging Soc Policy. 2015 Apr 3;27(2):173–91.
cross-ref  pubmed  

12 Constantinescu A, Li H, Yu J, Hoggard C, Holroyd-Leduc J. Exploring rural family physicians’ challenges in providing dementia care: a qualitative study. Can J Aging. 2018 Dec;37(4):390–99.
cross-ref  pubmed  

13 Morgan DG, Walls-Ingram S, Cammer A, O’Connell ME, Crossley M, Dal Bello-Haas V, et al. Informal caregivers’ hopes and expectations of a referral to a memory clinic. Soc Sci Med. 2014 Feb 1;102:111–18.
cross-ref  pubmed  

14 Vandenbroucke JP, von Elm E, Altman DG, Gøtzsche PC, Mulrow CD, Pocock SJ, et al. Strengthening the Reporting of Observational Studies in Epidemiology (STROBE): explanation and elaboration. Epidemiology. 2007 Nov;18(6):805–35.
cross-ref  pubmed  

15 Morgan D, Kosteniuk J, O’Connell ME, Stewart N, Kirk A. Rural dementia research in Canada. In: Innes A, Morgan D, Farmer J, editors. Remote and rural dementia care. Bristol, UK: Bristol University Press; 2020. p. 75–102.
cross-ref  

16 Morgan DG, Crossley M, Kirk A, D’Arcy C, Stewart N, Biem J, et al. Improving access to dementia care: development and evaluation of a rural and remote memory clinic. Aging Ment Health. 2009 Jan 1;13(1):17–30.
cross-ref  pubmed  pmc  

17 Canadian Medical Association. Canadian Physician Data: Physicians Within and Outside Census Metropolitan Areas (CMA) & Census Agglomerations (CA). 2017 [cited 2023 Feb 15]. Available from https://www.cma.ca/sites/default/files/pdf/Physician%20Data/13cma_ca_outside.pdf

18 Morgan D, Kosteniuk J, O’Connell ME, Kirk A, Stewart NJ, Seitz D, et al. Barriers and facilitators to development and implementation of a rural primary health care intervention for dementia: a process evaluation. BMC Health Serv Res. 2019 Dec;19(1):709.
cross-ref  pubmed  pmc  

19 Saskatchewan Bureau of Statistics. 2021 Saskatchewan Census Population Report—Population by Community. Regina, SK; 2022. [cited 2023 Feb 15]. Available from: https://www.saskatchewan.ca/government/government-data/bureau-of-statistics/population-and-census

20 Dal Bello-Haas VP, Cammer A, Morgan D, Stewart N, Kosteniuk J. Rural and remote dementia care challenges and needs: perspectives of formal and informal care providers residing in Saskatchewan, Canada. Rural Remote Health. 2014 Aug 1;14(3):192–204.

21 Ismail Z, Black SE, Camicioli R, Chertkow H, Herrmann N, Laforce Jr R, et al. Recommendations of the 5th Canadian Consensus Conference on the diagnosis and treatment of dementia. Alzheimers Dement. 2020 Aug;16(8):1182–95.
cross-ref  pubmed  pmc  

22 Nair R, Haynes VS, Siadaty M, Patel NC, Fleisher AS, Van Amerongen D, et al. Retrospective assessment of patient characteristics and healthcare costs prior to a diagnosis of Alzheimer’s disease in an administrative claims database. BMC Geriatr. 2018 Dec;18(1):1–2.
cross-ref  

23 Albrecht JS, Hanna M, Kim D, Perfetto EM. Increased health care utilization in dementia subtypes before diagnosis. Alzheimer Dis Assoc Disord. 2018 Oct 1;32(4):326–32.
cross-ref  pubmed  

24 Wong JF, Kirk A, Perlett L, Karunanayake C, Morgan D, O’Connell ME. Characteristics of young-onset and late-onset dementia patients at a remote memory clinic. Can J Neurolog Sci. 2020 May;47(3):320–27.
cross-ref  

25 Verity R, Kirk A, O’Connell ME, Karunanayake C, Morgan DG. The worried well? Characteristics of cognitively normal patients presenting to a rural and remote memory clinic. Can J Neurol Sci. 2018 Mar;45(2):158–67.
cross-ref  

26 Taipale H, Purhonen M, Tolppanen AM, Tanskanen A, Tiihonen J, Hartikainen S. Hospital care and drug costs from five years before until two years after the diagnosis of Alzheimer’s disease in a Finnish nationwide cohort. Scand J Public Health. 2016 Mar;44(2):150–58.
cross-ref  

27 Desai U, Kirson NY, Ye W, Mehta NR, Wen J, Andrews JS. Trends in health service use and potentially avoidable hospitalizations before Alzheimer’s disease diagnosis: a matched, retrospective study of US Medicare beneficiaries. Alzheimers Dement: Diagnosis, Assess Dis Monitor. 2019 Dec 1;11:125–35.

28 Verity R, Kirk A, Morgan D, Karunanayake C. Trends in medication use over 11 years in patients presenting to a rural and remote memory clinic. Can J Neurol Sci. 2016 Nov;43(6):815–18.
cross-ref  pubmed  

29 Parsons C. Polypharmacy and inappropriate medication use in patients with dementia: an under-researched problem. Ther Adv Drug Saf. 2017 Jan;8(1):31–46.
cross-ref  pubmed  pmc  

30 Koller D, Eisele M, Kaduszkiewicz H, Schön G, Steinmann S, Wiese B, et al. Ambulatory health services utilization in patients with dementia—Is there an urban-rural difference? Int J Health Geogr. 2010 Dec;9(1):1–8.
cross-ref  

31 Moore A, Frank C, Chambers LW. Role of the family physician in dementia care. Can Fam Physician. 2018 Oct 1;64(10):717–19.
pubmed  pmc  

32 Strasser R, Cheu H. Needs of the many: Northern Ontario School of Medicine students’ experience of generalism and rural practice. Can Fam Physician. 2018 Jun 1;64(6):449–55.
pubmed  pmc  

33 Downer B, Al Snih S, Chou L, Kuo YF, Raji M, Markides KS, et al. Changes in health care use by Mexican American Medicare beneficiaries before and after a diagnosis of dementia. J Gerontol A. 2021 Mar;76(3):534–42.
cross-ref  

34 Schwarzkopf L, Hao Y, Holle R, Graessel E. Health care service utilization of dementia patients before and after institutionalization: a claims data analysis. Dement Geriatr Cogn Disord Extra. 2014;4(2):195–208.
cross-ref  

35 eHealth Saskatchewan. Shadow billing—Mode 0 & 9 Practitioners. 2020. [cited 2023 Feb 15]. Available from: https://www.ehealthsask.ca/services/resources/establish-operate-practice/Documents/Billing%20Information%20Sheet%20-%20Shadow%20Billing.pdf

36 Canadian Institute for Health Information. Discharge Abstract Database Metadata (DAD). Ottawa: CIHI; no date. [cited 2023 Feb 15]. Available from: https://www.cihi.ca/en/discharge-abstract-database-metadata-dad

37 Rawson N, Downey W, Maxwell C, West R. 25 years of pharmacoepidemiologic innovation: the Saskatchewan health administrative databases. J Popul Ther Clin Pharmacol. 2011;18(2).

38 Saskatchewan Ministry of Health. Institutional Supportive Care Homes Information System Manual: guideline/general information. Regina, SK: The Ministry; 2013. [cited 2023 Feb 15]. Available from: https://docplayer.net/4808827-Institutional-supportive-care-homes-information-system-manual-guideline-general-information.html

39 Folstein MF, Folstein SE, McHugh PR. Mini-Mental State: a practical method for grading the cognitive state of patients for the clinician. J Psychiatr Res. 1975 Nov 1;12(3):189–98.
cross-ref  pubmed  

40 Logsdon RG, Gibbons LE, McCurry SM, Teri L. Quality of life in Alzheimer’s disease: patient and caregiver reports. J Ment Health Aging. 1999 Jan 1;5(1):21–32.

41 Radloff LS. The CES-D Scale: a self-report depression scale for research in the general population. Appl Psychol Meas. 1977 Jun;1:385–401.
cross-ref  

42 Pfeffer R, Kurosaki T, Harrah CH, Chance JM, Filos S. Measurement of functional activities in older adults in the community. J Gerontol. 1982 May 1;37(3):323–29.
cross-ref  pubmed  

43 Bucks RS, Ashworth DL, Wilcock GK, Siegfried K. Assessment of activities of daily living in dementia: development of the Bristol Activities of Daily Living Scale. Age Aging. 1996 Mar 1;25(2):113–20.
cross-ref  

44 Ware, J., Kosinski, M., & Keller, S. A 12-item Short- Form Health Survey: construction of scales and preliminary tests of reliability and validity. Med Care. 1996 Mar 1;34(3):220–33.
cross-ref  pubmed  

45 Bédard M, Molloy DW, Squire L, Dubois S, Lever JA, O’Donnell M. The Zarit Burden Interview: a new short version and screening version. Gerontologist. 2001 Oct 1;41(5):652–57.
cross-ref  pubmed  

46 Statistics Canada. Census Metropolitan Influenced Zones: Detailed Definition. Ottawa: Statistics Canada; 2018. [cited 2023 Feb 15]. Available from: https://www150.statcan.gc.ca/n1/pub/92-195-x/2011001/other-autre/miz-zim/def-eng.htm


Correspondence to: Julie G. Kosteniuk, PhD, Canadian Centre for Health & Safety in Agriculture, University of Saskatchewan, 104 Clinic Place, Saskatoon, SK S7N 2Z4, Email:julie.kosteniuk@usask.ca

(Return to Top)


APPENDIX A. Year of RRMC visit



 

APPENDIX B. Administrative health data sources and measures




 

APPENDIX C. RRMC clinical measures



 

APPENDIX D. Sociodemographic and clinical characteristics of RRMC patients




 

APPENDIX E. Admission to permanent long-term care and mortality of RRMC patients, post-index



 


COPYRIGHT

This is an Open Access article distributed under the terms of the Creative Commons Attribution Non-Commercial No-Derivative license (https://creativecommons.org/licenses/by-nc-nd/4.0/), which permits unrestricted non-commercial use and distribution, provided the original work is properly cited.


Canadian Geriatrics Journal, Vol. 26, No. 3, September 2023