Original Research

Level, Motivation and Barriers to Participate in Physical Activity among Geriatric Population at Ahmedabad City, India: An Epidemiological Factsheet

Viral R. Dave, MD, Neel B. Desai, MBBS, Vasu Rathod, MSc
Community Medicine Department, GCS Medical College, Hospital & Research Centre, Ahmedabad, Gujarat, India

DOI: https://doi.org/10.5770/cgj.27.751

ABSTRACT

Objectives

To estimate the level of physical activity among geriatric population, to determine the motivating factors for being active and identifying barriers that prevent participants from engaging in physical activity.

Methods

A community-based cross-sectional study was carried out at one of the wards within Ahmedabad city following multi-stage random sampling. The calculated sample size was 230. A pre-designed, validated, short version International Physical Activity Questionnaire (IPAQ) and Behaviour Regulation in Exercise Questionnaire (BREQ-3) were used for data collection by personal interview. From selected sampling-frame, geriatric people residing in every 5th household were interviewed after obtaining oral informed consent following simple-random sampling.

Results

Of total 230 study participants, 67 (29.13%) were physically active (cumulative for Category 2 and Category 3), while the remaining 163 (70.87%) were found physically inactive (i.e., minimally active [Category 1]). Motivational scores, particularly in identified regulation, showed higher median scores across subdomains of the BREQ-3. Amotivation exhibited a strong negative correlation with physical activity, while intrinsic regulation displayed a strong positive correlation.

Conclusion

More than two-third of study participants were physically inactive. Level of educational status, type of previous occupation involved, presence of addiction, BMI, electronic device usage duration per day and presence of chronic illness were statistically significant determinants to decide involvement of elderly people in category of physical activity. Amotivation, external and introjected regulation had negative correlation with physical activity, while intrinsic regulation and RAI (Relative Autonomy Index) showed positive correlation with physical activity. None of the behavioural regulators had statistically significant association with category of physical activity.

Key words: barrier, geriatric, motivation, physical activity

INTRODUCTION

Age is one of the most imperious non-modifiable risk-factors responsible for the development of non-communicable and life-style disorders. Physical inactivity, on another extreme represents very important modifiable risk-factor for the same. The involvement in physical activity by elderly is found protective, not only against particular set of diseases but is also favourable for better cognitive functions, mental health, and overall quality of life. The geriatric demographic constitutes a growing segment of society in many parts of the world. As population ages, the significance of maintaining physical activity among the geriatric (older adults) population becomes increasingly apparent.

The World Health Organization (WHO) defines physical activity (PA) as any bodily movement produced by skeletal muscles that requires energy expenditure. Physical activity refers to all movement including during leisure time, for transport to get to and from places, or as part of a person’s work. (1) Exercise helps manage non-communicable diseases like diabetes, cancer, and cardiovascular disease, and lessens the symptoms of depression and anxiety. Around the world, one in four adults do not exercise to the recommended levels. Compared to those who are appropriately active, those who are insufficiently active have a 20–30% higher risk of dying.(1) As per Longitudinal Ageing Study (2) in India (LASI) Wave-1, India Report 2020, 45.9% geriatric population (older adults) are physically inactive. Due to improved health care and increased life expectancy in India, the proportion of elderly individuals has been steadily increasing from 6.0 to 8.1 percent respectively during the period 1991 to 2020.(3) Ahmedabad, the largest city in Gujarat, reflects this demographic shift with a substantial proportion of elderly population (8.3% of total Gujarat population).(3)

Physical activity is a fundamental component of healthy aging, providing a multitude of benefits that encompass physical, psychological, and social aspects. Furthermore, it plays a pivotal role in maintaining functional independence, preserving cognitive function, and fostering emotional well-being in older adults.(4) Despite these undeniable advantages, the geriatric population often faces unique challenges and circumstances that influence their participation in physical activity.

Motivation, a critical determinant of sustained physical activity, is influenced by a complex interplay of personal, social, and environmental factors. Understanding what motivates older adults to engage in physical activity is pivotal for health-care professionals, policymakers, and stake holders alike, as it can inform the development of effective interventions tailored to the specific needs and preferences of this population.

Conversely, barriers to physical activity can impede older adults’ efforts to lead active lives. These barriers may include physical limitations, fear of injury, lack of access to suitable exercise facilities, and societal perceptions about aging. Exploring these challenges in-depth can provide an understanding of the obstacles which must be overcome to promote physical activity among older individuals.

By gaining knowledge of factors which either motivate or act as barriers for elderly people for involving in physical activity, better health-care strategies, policy initiatives, and community-based interventions can be planned which can be helpful in enhancing the physical well-being and overall quality of life for the elderly population. With this background, the current study was planned with objectives of: assessing the level of physical activity among sampled geriatric population, exploring various motivators that drive to engage them in physical activity, and identifying the barriers that hinder their participation in physical activity.

METHODS

Study Design

This was cross-sectional study conducted in Ahmedabad, the largest city in Gujarat state of India during June-November 2023. A Multi-Stage Sampling method was adopted. Ahmedabad city is divided in seven administrative zones by Ahmedabad Municipal Corporation, of which one zone was selected randomly, which turned out to be north zone. There are total 14 wards in north zone which were listed alphabetically and, from that list, one ward was selected randomly by lottery method. For sample size calculation, the prevalence of Physical Inactivity among Geriatric population (age ≥60) in Longitudinal Ageing Study in India(2) which was 45.9% (p=45.9) was considered. On adding this value in the formula:(5)

where, p=prevalence (45.9), q=100-p (i.e., 54.1), l = allowable error (here, it was taken as 15% of prevalence [i.e., 6.89]).

The calculated sample size came out was 209. Adding 10% of non-response rate to total sample size, final sample size considered for research was 230.

Participants

Urban Health Centre (UHC) is the primary health care delivery point in urban area of Ahmedabad city managed by Municipal Corporation. Each UHC usually caters to 50,000 to 75,000 population; one was created per ward, and is updated time to time depending on population size after census. It has readily available the list of households to be catered for health services with unique numbers allotted to permanent households including slums.

The same list was utilized for this study for selection of sampled population with addition of a few newly built households and slum dwellings in same ward and not covered in master list. Each household was assigned a unique number, and a random selection was made through a lottery system following simple-random sampling technique. Starting from the chosen number which turned out to be ‘twenty-one’, every fifth household with geriatric individuals aged ≥ 60 years residing in that house-hold who were ready for willingly participate in research and provide informed oral consent were included. If no individual ≥ 60 years was found in that selected household, then adjacent household was considered for inclusion in the study. Exclusion criteria encompassed individuals who are severely mentally or physically ill to the extent of being unresponsive, as well as subjects not residing within the study area, such as guests or migrants.

Physical Activity

A pre-designed and validated questionnaire was utilized to gather socio-demographic data, including age, gender, and healthy practices within their families. The socioeconomic status of the families was assessed using a modified B.G. Prasad scale(6) and Consumer Price Index.(7) Body mass index (BMI) was determined according to the Asia-Pacific classification,(8) relying on objectively measured height and weight. The participants’ physical activity (PA) levels were evaluated using the short form of the International Physical Activity Questionnaire (IPAQ)(9) based on a seven-day PA recall. This questionnaire was consisted of seven questions pertaining to the frequency, duration, and intensity of PA, and necessary literature for its validity and reliability and interpretation of scoring (9,10) were reviewed before implementation in research. Although there are many different ways to analyse physical activity data, to date there is no formal consensus on a ‘correct’ method for defining or describing levels of physical activity based on self–report population surveys. The use of different scoring protocols makes it very difficult to compare within and between countries, even when the same instrument has been used. Use of IPAQ scoring methods enhance the comparability between surveys, providing identical sampling and survey methods which have been used in this study.(10)

Motivation Level

Motivation levels were assessed through the Behaviour Regulation in Exercise Questionnaire (BREQ-3),(11,12) a validated tool that examined the reasons behind individuals’ decisions to engage or not engage in physical exercise. This questionnaire was comprised of 24 questions with three response options reflecting the level of agreement. BREQ-3 questionnaires were analysed with respect to amotivation, external regulation, introjected regulation, identified regulation, integrated regulation, and intrinsic regulation. A composite score of relative autonomy (RAI) was computed by summing the overall score of individual domains, i.e., −3 × Amotivation, −2 × External regulation, −1 × Introjected regulation, +1 × Identified regulation, +2 × Integrated regulation, +3 × Intrinsic regulation. Higher, positive scores indicate greater relative autonomy; lower, negative scores indicate more controlled regulation.(12)

Operational Definitions

Physical Activity: According to the IPAQ (International Physical Activity Questionnaire), physical activity is divided into three main categories: inactive (Category 1), minimally active (Category 2), and HEPA active (Health Enhancing Physical Activity, the high active category, Category 3).(10) However, the term “inactive” in Category 1 might be misleading as it actually represents the lowest level of physical activity. Individuals who do not meet the criteria for Categories 2 or 3 are classified as “insufficiently active”.(10)

Behaviour: The way that a person, an animal, a substance, etc. behaves in a particular situation or under particular conditions.(13)

Motivation: The need or reason for doing something.(14)

Barriers: Something that prevents something else from happening or makes it more difficult.(15)

Geriatric (Elderly) population: A person who is over 60 years of age.(16)

Data Analysis

Data entry and data analysis were pursued with standard software, Microsoft office Excel version 2019 and Statistical packages for social sciences (SPSS Version 26). The data were analysed with chi-square test and p value of < .05 was taken as significant. Motivation scores in various subdomains of BREQ were analysed with median, inter-quartile range (IQR), while association of physical activity involvement (as per IPAQ) with various domains of BREQ-3 was assessed with applying Mann Whitney U test.

The ethical approval was obtained from Institutional Ethics Committee [GCSMC/EC/Research Project/APPROVE/2023/566]. The Institutional Ethics Committee (Biomedical & Health research) is registered with Department of Health Research, Central Govt. of India, with No. EC/New/2021/GJ/0009.

RESULTS

Of total 230 study participants, 67 (29.13%) were physically active (cumulative for Category 2 and Category 3), while the remaining 163 (70.87%) were found physically inactive (i.e., minimally active [Category 1]). The HEPA category, Category 3, included only one subject, so, for further statistical analysis, it was merged with Category 2. Therefore, physical active and the comparative analysis was done for physically inactive (Category 1) versus physically active (Category 2 and Category 3 combined). Of total 230 patients studied, 131 (56.95%) were from age-group 60–64 years, while the remaining belonged to 65–69 years age-group. Of total, 130 (56.52%) were males and 203 (88.26%) were following Hindu religious ideology, slightly more than one-third (81, 35.22%) had education level of graduate and above, slightly less than one-third (75, 32.61%) were labourers by occupation in past, nearly three-forth (167, 72.61%) had BMI ≥ 25 kg/m2. Of total, 98, 42.61% were using digital device for more than two hours per day, while 93, 40.43% had one or more chronic co-morbidities (Table 1).

TABLE 1 Distribution of study participants as per short-form IPAQ

The role of selected variables in involvement of physical activity was assessed as described on Table 1. It was revealed that level of educational status, type of previous occupation involved, presence of addiction, BMI, electronic device usage duration per day, and presence of chronic illness were statistically significant determinants (all determinants with p < .05) to decide involvement of elderly people in physical activity. The remaining variables like age, gender, religion, marital status, living arrangements, type of family, and monthly income did not show statistically significant impact among geriatric study group for their participation in physical activity (Table 1).

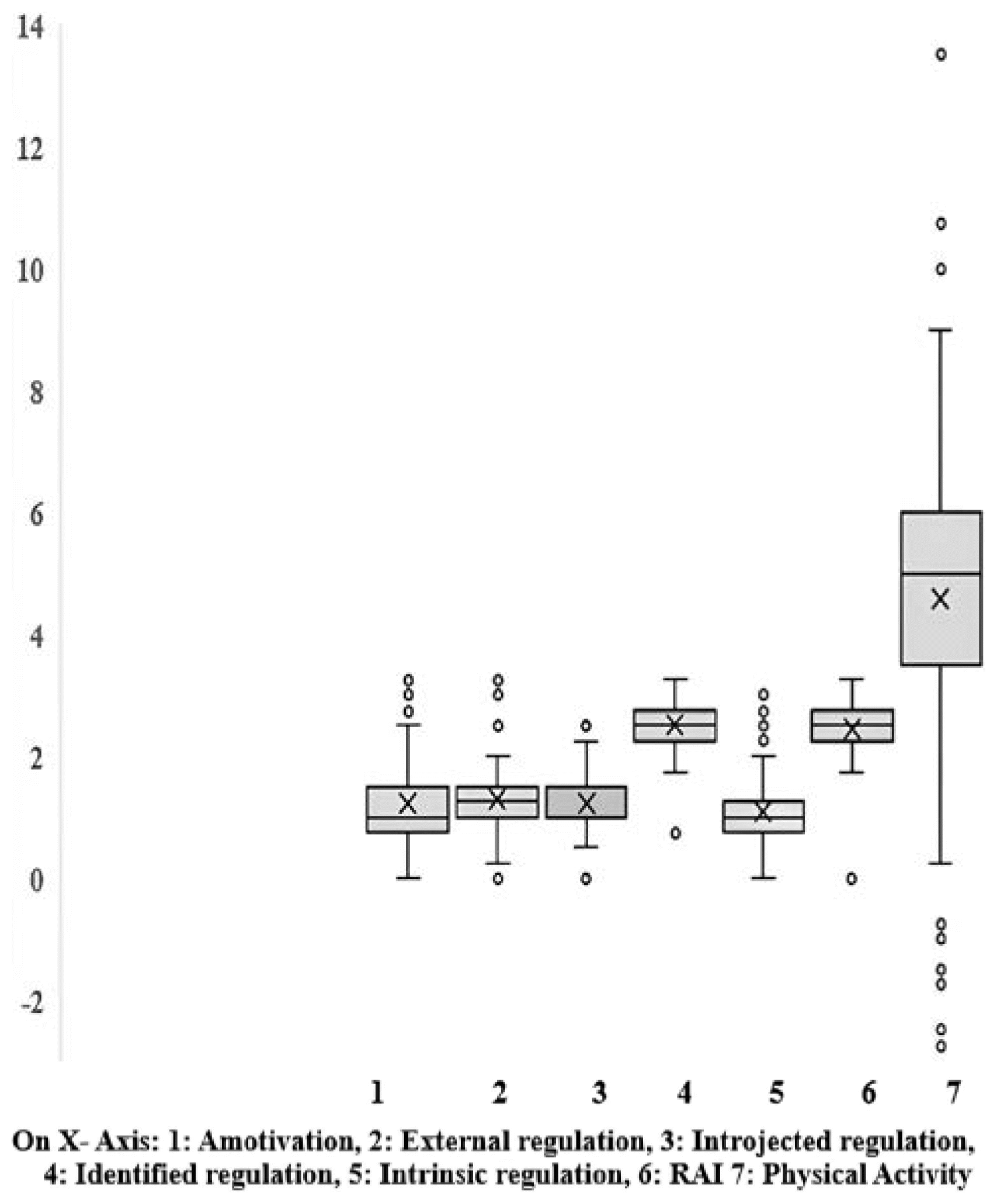
The box and whisker plot (Figure 1) visually shows the distribution of motivation indicators observed in the study participants. The plot displays the range and variability of scores for each sub domains along with RAI, showing the central tendency and distribution of particular variable. The box denotes the interquartile range (IQR), where the lower and upper edges correspond to the 25th and 75th percentiles, respectively. The line within the box represents the median score, whereas the cross represents mean score, offering insight into the typical value for each motivation dimension. Additionally, the vertical lines extend from minimum value (of lower quartile) to maximum values (of upper quartile) within 1.5 times the IQR.

 


 

FIGURE 1 Box-whisker plot distribution of various domains of BREQ-3 for physical activity involvement among study participants

In Figure 1, the potentially low, as well as high, outliers were revealed. Identified Regulation and RAI showed potentially lower outliers. Amotivation and Intrinsic regulation revealed potentially high outliers, while distribution of External regulation, Introjected regulation, and PA showed both type of outliers (i.e., potentially low and high outliers). This figure is highlighting extreme values (outliers) that deviate significantly from the mean, since median is less affected by outliers, median was used for further analysis as described in Table 2.

TABLE 2 Distribution of various subdomains of motivation levels as per BREQ-3 among elderly population

Motivation scores in various subdomains of BREQ among the study participants are described in Table 2. The overall median score was found to be higher for item 1(“It’s important to me to exercise regularly”) in the domain of identified regulation (i.e., 4 with interquartile range (IQR) 2–4), which means that most of respondents agreed with or showed positive attitude towards it. Interquartile range (IQR) 1–4, which means the person is doing the PA willingly by understanding the benefits. Participants reported higher scores on the self-determined motives and lower on the others. Remaining sub-domains like amotivation, external regulation, and integrated regulation revealed median value of 1 with almost similar interquartile range (i.e., either 0–2 or 1–2). The sub-domains of identified regulation and intrinsic regulation revealed median value of 4 or 3 in majority items, except for items no. 19 and 21 which recited “I get restless if I don’t exercise regularly” and “ I get pleasure and satisfaction from participating in exercise”, respectively, with median value of 2 (Table 2).

Figure 2 depicts the correlation scatter matrix in terms of relationships between various motivational factors and physical activity (PA) among studied elderly population. In this analysis, every single variable was assessed with remaining each seven pre-defined variables individually for positive and/or negative correlation. So, in toto, eight variables as per BREQ–3 were correlated with each other. Amotivation, a lack of motivation, shows a strong negative correlation with external regulation (−0.148*) and a particularly strong negative correlation with PA (−0.689**), suggesting that individuals who lack motivation are less likely to engage in physical activity. On the other hand, intrinsic regulation shows a strong positive correlation with PA (0.342**), implying that individuals who are intrinsically motivated are more likely to be physically active. External regulation shows positive correlations with identified regulation (0.103) and intrinsic regulation (0.153*), indicating that individuals who are externally regulated may also exhibit higher levels of identified and intrinsic motivation. Furthermore, RAI is positively correlated with amotivation (0.133*) and PA (0.328**), suggesting that it plays a role in both motivational factors and physical activity. These findings provide valuable information for researchers and practitioners aiming to understand and potentially enhance motivation for physical activity (Figure 2; asterisks explained in footnotes).

 


 

FIGURE 2 Distribution of correlation between level of physical activity and motivation levels of study participants (*,**)
*p < 0.05;, **p < 0.01.

As described in Table 3, Association of Physical activity involvement (as per IPAQ) with various domains of BREQ-3 was assessed with applying Mann Whitney U test which unveiled that none of the behavioural regulators had statistically significant association with category of physical activity in which study participants were involved. Education is one of the major determinants for self-realization of motivation for being physically active and, consequently, being informed of the benefits of physical activity can halt the progression of life-style disease or age–related common morbidities.

TABLE 3 Association of Physical activity involvement (as per IPAQ) with various domains of BREQ-3

DISCUSSION

Present research revealed that 70.87% of studied elderly people were involved with minimal physical activity. The review of literature from renowned database found that in India, 31.02% of older adults did not engage in any moderate physical activities and 59.39% of older adults did not engage in any vigorous physical activities.(17)) The study conducted at Ireland by Ryan et al.(18) in older individuals revealed that 27.38% and 72.82% of study participants were involved in low and moderate plus vigorous physical activity as per IPAQ. Participation in physical activity for community-dwelling elderly Italians assessed by Giuli et al. (19) revealed that overall, 56.2% of elders were engaged in regular physical exercise.

Browning et al.(20) in their similar research conducted at Melbourne, Australia found that age, educational status, and income were significant correlates of physical activity behaviour among older adults, while the Giuli et al.(19) found lower age, a lower body mass index (BMI), better health status, absence of depression, and being married, were all associated with regular PA. In the present study, educational status, previous occupation, presence of addiction, BMI, electronic device usage duration per day, and presence of chronic illness were statistically significant determinants for involvement in physical activity (Category 2 and 3 as per IPAQ).

The association between categories of involvement in physical activity with particular sub-domains of BREQ-3 revealed none statistical significance, possible reason may be non-normal (skewed) distribution of study subjects in terms of level of education, as nearly two-third reported an education level obtained less than graduation.

Palombi T et al.(21) in their research demonstrated the effectiveness of BREQ-3 in assessing all forms of behavioural regulation in older adults, suggesting that older adults similarly interpreted the items across gender and age groups. Majority of the research literature available in Cochrane library or other leading databases revealed limited results on BREQ associated with geriatric age-group; they are either limited to validation and/or reliability studies for particular geographic area or age-group with a few restricted to extended exercise program for younger age-groups or elderly with some comorbidities being used in interventional research. In one such research conducted by Vancampfort et al.(22) assessing motives for physical activity in the adoption and maintenance of physical activity in middle-aged and old age outpatients with a mental disorder, it was revealed that, except for external regulation, all regulation scores were significantly lower in the pre-action compared with action and maintenance stages. There were no significant differences in levels of motivational types between the action and maintenance stage. The current study being different in study-design, this snapshot investigation unveiled that amotivation, external, and introjected regulation had negative correlation with physical activity, while intrinsic regulation and RAI showed positive correlation with physical activity.

Limitations

The present research had topmost limitation of restricted age-group inclusion in geriatric cohort. The standard IPAQ is validated and reliable for age range of 15–69 years and, consequently, older person more than 69 years age-group could not be assessed/included in current research. The additional limitation is common to cross-sectional study design—that is to say, follow-up of participants, with or without any interventional sequencer, was not perused. The unveiled findings may be transient and participants with poor/no physical activities were not offered any counselling or exercise program to be involved with in future.

ACKNOWLEDGEMENTS

Not applicable.

CONFLICT OF INTEREST DISCLOSURES

We have read and understood the Canadian Geriatrics Journal’s policy on conflicts of interest disclosure and declare there is no conflict of interest for any authors.

FUNDING

No funding support was received for this research.

REFERENCES

1. World Health Organization (WHO). Physical activity. Available from: https://www.who.int/news-room/fact-sheets/detail/physical-activity#:~:text=What%20is%20physical%20activity%3F,part%20of%20a%20person's%20work. Last accessed on May 4, 2023.

2. Government of India. Ministry of Health & Family Welfare. Longitudinal ageing study in India (LASI). Wave-1: an investigation of health, economic, and social well-being of India’s growing elderly population. India Report 2020. Mumbai: National Programme for Health Care of Elderly & International Institute for Population Sciences; 2020. Available at: https://www.iipsindia.ac.in/sites/default/files/LASI_India_Report_2020_compressed.pdf. Last accessed on May 4, 2023.

3. Ministry of Home Affairs Government of India. Sample registration system statistical report, 2020. New Delhi: Office of The Registrar, General & Census Commissioner; n.d. Available at: https://censusindia.gov.in/nada/index.php/catalog/42687. Last accessed on September 21, 2023.

4. Langhammer B, Bergland A, Rydwik E. The importance of physical activity exercise among older people. BioMed Res Int. 2018 Dec 5;2018:7856823. doi:10.1155/2018/7856823.
Crossref

5. Khanal AB, editor. Mahajan’s methods in biostatistics for medical students and research workers, 8th edition. New Delhi: Jaypee Publication; 2016.

6. Pentapati SSK, Debnath DJ. Updated BG Prasad’s classification for the year 2022. J Family Med Prim Care. 2023 Jan;12(1):189–190. doi:10.4103/jfmpc.jfmpc_1478_22
Crossref  PubMed  PMC

7. Government of India. Labour Bureau, Ministry of Labour and Employment. All India general index. Chandigarh, India: The Ministry; 2023. Available from: https://www.labourbureau.gov.in/allindiageneralindex-1. Last accessed on November 16, 2023

8. World Obesity Federation. Obesity Classification. London: The Federation; 2022. Available at: https://www.worldobesity.org/about/about-obesity/obesity-classification. Last accessed on November 16, 2023.

9. Van Poppel MN, Chinapaw MJ, Mokkink LB, van Mechelen W, Terwee CB. Physical activity questionnaires for adults: a systematic review of measurement properties. Sports Med. 2010 Jul 1;40(7):565–600. doi:10.2165/11531930-000000000-00000.
Crossref  PubMed

10. Guidelines for data processing and analysis of the International Physical Activity Questionnaire (IPAQ)-Short and Long Forms. IPAQ; 2005 Nov. Available at: https://www.researchgate.net/file.PostFileLoader.html?id=5641f4c36143250eac8b45b7&assetKey=AS%3A294237418606593%401447163075131. Last accessed on May 4, 2023.

11. Exercise Regulations Questionnaire (Breq-3). Bangor, Wales: Bangor University; 2014. Available at: http://exercise-motivation.bangor.ac.uk/downloads/breq-3.pdf. Last accessed on May 4, 2023.

12. Scoring the BREQ. Bangor, Wales: Bangor University; n.d. Avialble at: http://exercise-motivation.bangor.ac.uk/breq/brqscore.php. Last accessed on May 4, 2023.

13. Cambridge University (n.d.). Behaviour (English meaning). Cambridge Dictionary.org. Retrieved May 5, 2023 from https://dictionary.cambridge.org/dictionary/english/behaviour

14. Cambridge University (n.d.). Motivation (English meaning). Cambridge Dictionary.org. Retrieved May 5, 2023 from https://dictionary.cambridge.org/dictionary/english/motivation

15. Cambridge University (n.d.). Barrier (English meaning). Cambridge Dictionary.org. Retrieved May 5, 2023 from https://dictionary.cambridge.org/dictionary/english/barrier

16. WHO. Health Topics. Ageing. Available at: https://www.who.int/health-topics/ageing#tab=tab_1. Last accessed on May 5, 2023.

17. Boro B, Saikia N. Association of multimorbidity and physical activity among older adults in India: an analysis from the Longitudinal Ageing Survey of India (2017–2018). BMJ Open. 2022 May 1;12(5):e053989. doi:10.1136/bmjopen-2021-053989.
Crossref  PubMed  PMC

18. Ryan A, Murphy C, Boland F, Galvin R, Smith SM. What is the impact of physical activity and physical function on the development of multimorbidity in older adults over time? A population-based cohort study. J Gerontol A: Biol Sci Med Sci. 2018 Oct 8;73(11)1538–44. doi:10.1093/gerona/glx251.
Crossref  PubMed  PMC

19. Giuli C, Papa R, Mocchegiani E, Marcellini F. Predictors of participation in physical activity for community-dwelling elderly Italians. Arch Gerontol Geriatr. 2012 Jan–Feb;54(1):50–54. doi:10.1016/j.archger.2011.02.017. Epub 2011 Mar 31.
Crossref

20. Browning C, Sims J, Kendig H, Teshuva K. Predictors of physical activity behavior in older community-dwelling adults. J Allied Health. 2009 Spring;38(1):8–17.
PubMed

21. Palombi T, Lucidi F, Chirico A, Alessandri G, Filosa L, Tavolucci S, et al. Is the Behavioral Regulation in Exercise Questionnaire a valid measure in older people? Healthcare. 2023 Oct 10;11(20):2707. doi:10.3390/healthcare11202707.
Crossref  PubMed  PMC

22. Vancampfort D, Basangwa D, Nabanoba J, Smith L, Mugisha J. Motives for physical activity in the adoption and maintenance of physical activity in middle-aged and old age outpatients with a mental disorder: a cross-sectional study from a low-income country. Psychiatry Res. 2019 Dec;282:112620. doi:10.1016/j.psychres.2019.112620. Epub 2019 Oct 14.
Crossref  PubMed


Correspondence to: Viral R. Dave, MD, Community Medicine Department, GCS Medical College, Hospital & Research Centre, Opp. D.R.M. Office, Naroda Rd., (nr. Chamunda Bridge) Ahmedabad, Gujarat, 380025, India, E-mail: dr.vdave@gmail.com

(Return to Top)


COPYRIGHT

This is an Open Access article distributed under the terms of the Creative Commons Attribution Non-Commercial No-Derivative license (https://creativecommons.org/licenses/by-nc-nd/4.0/), which permits unrestricted non-commercial use and distribution, provided the original work is properly cited.


Canadian Geriatrics Journal, Vol. 27, No. 3, SEPTEMBER 2024