Rhiannon L. Roberts, MScPH1, Haris Imsirovic, MSc2, Robert Talarico, MSc2,1, Wenshan Li, PhD1, André Carrington, PhD1,3,4, Kruti Patel, MSc5, Douglas Manuel, MD1,2,5,6,7,8, Peter Tanuseputro, MD1,2,5,6, Steven Hawken, PhD1,7,9,2,3, Colleen Webber, PhD1
1Clinical Epidemiology Program, Ottawa Hospital Research Institute, Ottawa
2ICES uOttawa, Ottawa
3Department of Radiology, Radiation Oncology and Medical Physics Faculty of Medicine, University of Ottawa, Ottawa
4Department of Systems Design Engineering, University of Waterloo, Waterloo
5Bruyère Health Research Institute, Bruyère Continuing Care, Ottawa
6Department of Medicine, University of Ottawa, Ottawa
7School of Epidemiology and Public Health, University of Ottawa
8Statistics Canada, Ottawa
9Ottawa Methods Center, Ottawa, ONDOI: https://doi.org/10.5770/cgj.28.808
ABSTRACT
Background
As individuals approach death, they experience declines in their cognitive, physical, motor, sensory, physiologic, and psychosocial functions. In this exploratory study we examined individuals’ physiologic changes in the last year of life by examining laboratory tests commonly used in clinical practice.
Methods
Using health administrative datasets, we conducted an observational matched cohort study to assess laboratory test use and values over a decedent’s last 12 months and a matched observation window for non-decedents. Laboratory tests included tests for electrolytes: potassium and sodium; complete blood count: hemoglobin and leukocytes; diabetes: hemoglobin A1c; and kidney or liver function: albumin-serum, alanine aminotransferase, and creatinine.
Results
We identified 376,463 decedents, 367,474 (97.6%) of whom were matched to non-decedents (similar age and sex). For each test, the proportion of non-decedents who received the test was stable over the 12-month observation period. A higher proportion of decedents had a laboratory test than non-decedents for all but the diabetes test. As decedents neared death, there was a gradual increase in test use until their final month of life, when test use dramatically increased. Across all laboratory tests, test values remained similar for non-decedents over the 12-month observation period. However, for decedents, there were differences in the magnitude and direction of the test values over the 12 months.
Conclusion
Our findings indicate distinct changes in decedents’ laboratory test use and values over their last 12 months. Future work should explore whether laboratory tests could predict survival or improve the performance of mortality prediction models.
Key words: mortality, physiological decline, health service use
As individuals approach death, they experience declines in their cognitive, physical, motor, sensory, physiologic, and psychosocial functions.(1–4) While these declines commonly occur in old and frail individuals years before death, greater declines occur in the last few months of life. For instance, physical symptoms of fatigue, musculoskeletal pain, dizziness or unsteadiness, and shortness of breath become increasingly common in the last five months before death.(5, 6) Similarly, an individual’s function declines in the last year of life, with steeper decline in the last three months.(7) While functional declines are well-described and used to predict mortality in older adults, a gap exists in understanding the physiologic changes associated with the dying process.(3,8–10)
This exploratory study examined individuals’ physiologic changes in the last year of life by examining blood tests that are commonly used in clinical practice. We will examine laboratory test use and values over individuals’ last year of life and compare them to a matched non-decedent cohort. We aim to identify potential physiologic markers that may be associated with senescence. Based on previous studies that looked at health service use in the last year of life, we assume that decedents will use laboratory tests more than non-decedents over the year. Additionally, we suspect that we will see important differences in laboratory values for decedents compared to non-decedents, but the direction and magnitude of these differences are not well-established.
We conducted a retrospective matched-cohort study in Ontario, Canada, using population-based routinely collected health administrative data. Ontario (Canada’s most populous province) has single-payer universal health insurance for its 14.5 million residents. We obtained data from eight individual-level databases (containing demographics, health outcomes, and health service use) linked using uniquely coded identifiers and analyzed at ICES. ICES is an independent, non-profit research institute whose legal status under Ontario’s health information privacy law allows it to collect and analyze health care and demographic data, without consent, for health system evaluation and improvement. The use of the data in this project is authorized under section 45 of Ontario’s Personal Health Information Protection Act (PHIPA) and does not require review by a Research Ethics Board.
For individual sociodemographics and health insurance eligibility we used the Registered Persons Database (RPDB) and Postal Code Conversation File+ (PCCF+). We used the following databases to capture an individuals’ health service use: the Ontario Laboratories Information System Database (OLIS) for test results from hospitals, community laboratories, and public health laboratories; National Ambulatory Care Reporting System (NACRS) for all emergency department (ED) visits; Discharge Abstract Database (DAD) for all acute care hospitalizations; OHIP Claims Database (OHIP) for all outpatient visits; and the Continuing Care Reporting System (CCRS) for all long-term care (LTC) residents.
We included all individuals (18 years or older) who died in Ontario, Canada, between January 1, 2015, and December 31, 2018. To match decedents to non-decedents, we used nearest neighbour matching of decedents to non-decedents based on birth date (±180 days) and sex. We selected a 1:1 matching ratio, as there were few eligible matches for older participants. Once a non-decedent was successfully matched, the matched decedent and non-decedent were assigned an index date of one year before the decedent’s death date. We excluded decedents and non-decedents who were younger than 17 or older than 105 on the index or ineligible for the province’s single-payer universal health insurance, the Ontario Health Insurance Plan (OHIP), two years before and one year following the index. We excluded individuals who had missing sex or age from the study. The cohort creation diagram is in the Appendix A.
We used the OLIS database to capture laboratory tests, which contains all test results from hospitals, community laboratories, and public health laboratories. As this was an exploratory study, we assessed eight of the twenty tests that were found to be most frequently used in the last year of life based on preliminary analyses of our cohort of decedents. We prioritized these eight tests in consultation with physicians on the research team (DM, PT) based on the expected relevancy of the tests in measuring physiologic changes at the end of life. The selected laboratory tests were electrolyte tests: potassium and sodium; complete blood count tests: hemoglobin and leukocytes; diabetes tests: hemoglobin A1c (HbA1c); and tests for kidney or liver function tests: albumin-serum, alanine aminotransferase (ALT), and creatinine. A further description of each lab test’s applicable codes and reasons are in Appendix B.
For each individual, we analyzed their sociodemographics (age, sex, income quintile, rurality), health service use (visits to the emergency department and hospital, long-term care resident), and health conditions (disease and comorbidity burden).
We present descriptive characteristics of decedents and non-decedents. Individuals with missing sex or age were excluded from the study, but all other missing data was reported in the descriptive analysis (Table 1) but was excluded from other analyses. Individuals’ characteristics reflect those recorded on the index date (one year before death or matched index date for non-decedents) and the calculated standardized differences between decedents and non-decedents, with a standardized difference equal or greater than 0.1 indicating minimally clinical relevant differences.(11) To evaluate differences in laboratory test use, we measured the proportion of decedents and non-decedents with each laboratory test (0 vs. 1+) every month between the index and death date (12-month observation window). The denominator remained consistent—all matched decedents or non-decedents were included in the cohort. For differences in laboratory test values, we graphically presented summary statistics for the laboratory test values in decedents and non-decedents every month within the 12-month observation window. Finally, we ran a linear regression of the laboratory test values for only individuals who had a laboratory test at any point in the 12-month observation window; covariates included month, decedent status, and the interaction between the month and decedent status. Using the regression model parameter estimates, we computed the mean difference in laboratory values for 6 vs. 12, 3 vs. 12, and 1 vs. 12 months before death for decedents and non-decedents. All statistical analyses were completed using in SAS Enterprise Guide version 7.1 (SAS Institute Inc., Cary, NC, USA). Data were analyzed between June 2022 and June 2023.
TABLE 1 Characteristics of decedents and matched non-decedents on index date
We identified 376,463 decedents, 367,474 (97.6%) of whom were matched to non-decedents. Matched non-decedents were the same age as matched decedents (mean age [SD]: 75.6 [14.4] vs. 75.4 [14.6]) and had the same sex distribution (female n [%] 181,342 [49.3%] vs. 185,356 [49.2%]). A total of 18,989 (4.6%) of decedents were not matched to a non-decedent. The unmatched decedents tended to be older (mean age 95.9 vs. 75.4) and more likely to be residing in long-term care (LTC) (22.8% vs. 5.4%) at their index date than the matched decedents. Unmatched decedents were slightly more likely to have chronic heart failure and chronic obstructive pulmonary disease than matched decedents. Characteristics of matched and unmatched decedents are described in Appendix C.
Figure 1 shows the proportion of individuals with each laboratory test in the 12-month observation window (last year of life for decedents and matched period for non-decedents). Each test, except HbA1c, shows similar trends in their use over the 12-month observation window. In each of the 12-month observation windows, a higher proportion of decedents had a laboratory test than non-decedents. As decedents neared death, there was a gradual increase in test use until their final month of life, when test use dramatically increased. In the last month before death, test use by decedents was very high, with approximately a third (~38%) of decedents having had an albumin or ALT test, and half (~55%) having had all other tests except HbA1c (~10%). In contrast, there was minimal change in non-decedents laboratory test use in the 12-month observation period—sodium (range: 10–11%), potassium (10–11%), HbA1c (7%), hemoglobin (11–13%), leukocytes (12%), creatinine (12–14%), albumin (3–4%), and ALT (7–8%).
|
| ||
|
FIGURE 1 Proportion of individuals with at least one of each laboratory test over the twelve months before death in decedents (blue, denominator = N=376,463) and non-decedents (green, denominator = N=367,474) | ||
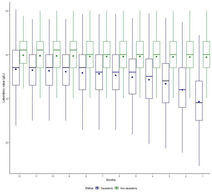
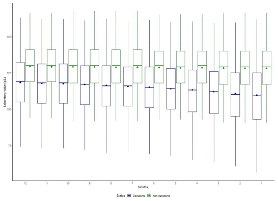
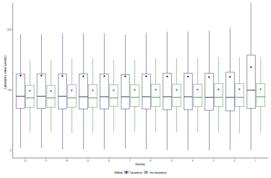
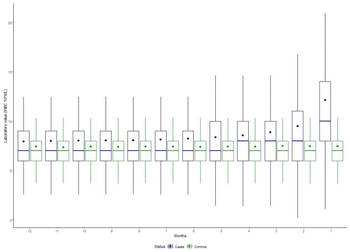
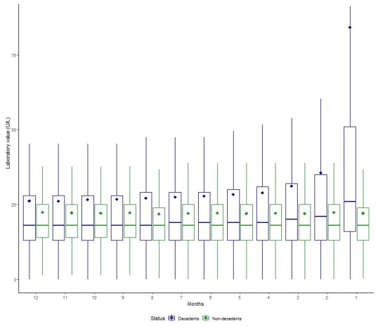
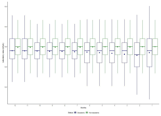
Across all laboratory tests, test values remained similar over the 12-month observation period for non-decedents (Figures 2 & 3, Appendix D Figures D1–D6). However, for decedents, we found differences in the magnitude and direction of the laboratory test values over time (Figures 2 & 3, Appendix D Figures D1–D6). For two tests: leukocytes, and ALT, decedent test values (mean, median, IQR) started increasing four months before death, with the largest change in values a month before death (Figure 3, Appendix D Figure D5). The values for creatinine remained stable until a month before death, when test values dramatically increased (Appendix D Figure D1). For serum albumin and hemoglobin, there was a continuous and gradual decrease in test values for decedents during all 12 months before death (Figure 2, Appendix D Figure D3). In contrast, decedents’ test values for Hb1Ac, potassium, and sodium did not change or had minimal changes as an individual approached death (Appendix D Figures D2, D4, & D6).
|
| ||
|
FIGURE 2 Serum albumin laboratory values over the last year of life for decedents (blue) and matched non-decedents (green); months are numbered by distance from death (e.g., 11 months from death); box plots show the median value (mid-line), interquartile range, and lower and upper bounds (truncated whiskers of 1.5 × interquartile range) representing the decedent status each month; diamonds represent the mean value; outliers (including minimum and maximum values) are excluded from the graph so differences in summary statistics can be seen | ||
|
| ||
|
FIGURE 3 Leukocytes laboratory values over the last year of life for decedents (blue) and matched non-decedents (green). Months are numbered by distance from death (e.g., 11 months from death). Box plots show the median value (mid-line), interquartile range, and lower and upper bounds (truncated whiskers of 1.5 × interquartile range) representing the decedent status each month. Diamonds represent the mean value. Outliers (including minimum and maximum values) are excluded from the graph so differences in summary statistics can be seen. | ||
The regression results indicated that for non-decedents, there were minimal changes in lab test values at 6 vs. 12, 3 vs. 12, and 1 vs. 12 months; the largest difference was for hemoglobin months 1 vs. 12 of −1.65 g/dL [95% CI −1.88, −1.42] (Table 2). In contrast, there were large differences in mean values for decedents in most laboratory tests (except HbA1C and potassium) (Table 2). For the majority of laboratory tests, the largest difference in mean laboratory tests were between month 12 (one year from death) and month 1 (last month of life) (Table 2); the largest difference was 94.89 U/L [95% CI 93.10, 96.69] for alanine aminotransferase.
TABLE 2 Regression outputs for laboratory test values in decedents and non-decedents, and number of unique decedents and non-decedents who had the applicable laboratory test done (at least once) during the 12-month observation period
To our knowledge, our study is largest to evaluate changes in laboratory test use and values over decedents’ last year of life compared to non-decedents. As decedents approached death, they had an increased use of laboratory tests and changes in their laboratory test values. Our findings indicate distinct changes in decedents’ health and health-care use over their last 12 months.
High use of laboratory tests in decedents is consistent with the literature on health-care use in the last year of life. Multiple studies have found that decedents use more primary, emergency, hospital, and intensive care in their last year of life.(7,12–14) However, fewer studies have evaluated the use of laboratory tests. While the use of laboratory tests will reflect provider, patient, and system-level characteristics, several studies have found a high use of laboratory tests during an individual’s last year of life. Tanuseputro et al. found that 79.1% of Ontario’s decedents had at least one laboratory test, of any type, done through their final year of life.(13) Similarly, Kim et al. found high use of laboratory tests in the last week of life for South Korean decedents, with 63% of decedents having at least one laboratory or imaging test, and a mean of 15.6 laboratory tests per person.(15)
The high use of laboratory tests in decedents’ final year of life may be partly due to challenges in identifying when an individual is nearing death and when to shift towards comfort-focused care.(16) Predicting mortality is challenging for health-care providers, particularly in individuals dying of non-cancer causes.(17,18) Individuals with frailty typically have impaired baseline function and experience a slow, gradual decline over many years.(7) Individuals with organ failure typically experience gradual decline with intermittent, often severe, exacerbations.(7) These patterns of functional decline make it difficult to predict their proximity to death. The Surprise Question (“Would I be surprised if this patient died in the next 12 months?”), a commonly used tool to predict an individual with a high risk of death, performs modestly in cancer patients and poorly in noncancer patients.(17,18) As it is difficult to know how close an individual is to the end-of-life, providers or families may view declines or symptom exacerbations near death as reversible and pursue exploratory and diagnostic testing, including laboratory tests. We suspect this may partly contribute to why a high proportion of decedents had each laboratory test we investigated in the final year of life, except for HbA1c—a test only used for standard diabetes care and screening. Future research could evaluate the clinical benefits of having these tests for individuals who are approaching death.
Population-level laboratory testing data may be a resource to improve mortality prognosis and support the delivery of end-of-life and palliative care. Research teams have developed mortality prediction models that are intended to identify if an individual is nearing death. These mortality prediction models can help individuals, families, and health-care providers understand an individual’s decline and plan their care accordingly. In mortality prediction models developed for hospitalized patients, laboratory tests (combined into a composite measure) are often used as predictors, and their use has been shown to improve model performance compared to models that do not use laboratory tests.(19–23) However, the use of these existing prediction models is dependent on an individual experiencing a serious event that requires hospitalization. These existing models cannot be used in the community as the models are dependent on some laboratory tests that are rarely done in outpatient settings. Therefore, the benefits of these models are not realized for all individuals (a quarter of decedents in this study were not hospitalized in their last year of life). Additionally, the benefits of these hospitalization-based models may only be realized later than desired. Palliative care needs can be identified and addressed before acute care and, in some cases, could minimize the need for acute care. Given the high use of laboratory tests within the last year of life and distinct changes in laboratory test values, prediction models developed for the outpatient setting may also benefit from adding laboratory tests as predictors.
A study strength is that we used administrative data from a universal health-care system to conduct a matched cohort design, which allowed us to capture laboratory tests in a large and heterogeneous population. Another strength is that we evaluated changes in laboratory test use and values over the last year of life, whereas other studies only measured test use at a single point in time (e.g., in the last week of life).(15) However, our study does have some limitations. First, we did not identify laboratory tests based on illness trajectories (e.g., organ failure, cancer, frailty), which may have distinct patterns in laboratory test use and values. Second, we did not distinguish between tests performed during an acute care visit and tests conducted outside of acute care. In acute care, some tests are performed more frequently (impacting test use), and individuals may be experiencing more severe illness acuity (impacting test values). However, by not limiting the study to acute care, the study captures a comprehensive view of laboratory tests during a 12-month observation window including tests performed before, during, and after an acute care visit, and for individuals who did not have an acute care visit. The third limitation is that the study is descriptive; therefore, we cannot make any conclusions of associations between laboratory tests and death.
Our findings indicate distinct changes in decedents’ laboratory test use and values over their last 12 months of life. Future work should explore whether laboratory tests can be used to predict survival, and whether laboratory tests may improve the performance of prediction models for non-hospitalized and hospitalized individuals.
This document used data adapted from the Statistics Canada Postal CodeOM Conversion File, which is based on data licensed from Canada Post Corporation, and/or data adapted from the Ontario Ministry of Health Postal Code Conversion File, which contains data copied under license from Canada Post Corporation© and Statistics Canada. Parts of this material are based on data and/or information compiled and provided by the Ontario Ministry of Health (MOH) and Canadian Institute of Health Information (CIHI). The analyses, conclusions, opinions and statements expressed herein are solely those of the authors and do not reflect those of the funding or data sources.
We have read and understood the Canadian Geriatrics Journal’s policy on conflicts of interest disclosure and declare there are none.
This study was supported by ICES, which is funded by an annual grant from the Ontario Ministry of Health (MOH) and the Ministry of Long-Term Care (MLTC). This study also received funding from: the Canadian Institutes of Health Research (CIHR) funding numbers: 173346 and 178436. PT is supported by PSI Graham Farquharson Knowledge Translation Fellowship.
1. Bornstein MH, Ed. The SAGE Encyclopedia of Lifespan Human Development, 5 vol. set. Thousand Oaks, CA: SAGE Publications, Inc.; 2018. [cited 2023 August 10]. Available from: https://sk.sagepub.com/reference/the-sage-encyclopedia-of-lifespan-human-development
2. Stolz E, Gill TM, Mayerl H, Rásky É, Freidl W. Trajectories of late-life disability vary by the condition leading to death. J Gerontol Series A. 2021 Jul 1;76(7):1260–64.
3. Stolz E, Mayerl H, Muniz-Terrera G, Gill TM. Terminal decline in physical function in older adults. J Gerontol Series A. 2024 Jan 1;79(1):glad119.
4. Cohen-Mansfield J, Skornick-Bouchbinder M, Brill S. Trajectories of end of life: a systematic review. J Gerontol Series B. 2018 Apr 16;73(4):564–72.
5. Chaudhry SI, Murphy TE, Gahbauer E, Sussman LS, Allore HG, Gill TM. Restricting symptoms in the last year of life: a prospective cohort study. JAMA Intern Med. 2013 Sep 9; 173(16):1534–40.
PubMed PMC
6. Conen K, Guthrie DM, Stevens T, Winemaker S, Seow H. Symptom trajectories of non-cancer patients in the last six months of life: identifying needs in a population-based home care cohort. PLoS One. 2021 Jun 15;16(6):e0252814.
PubMed PMC
7. Lunney JR, Lynn J, Foley DJ, Lipson S, Guralnik JM. Patterns of functional decline at the end of life. JAMA. 2003 May 14;289(18):2387–92.
PubMed
8. Hsu AT, Manuel DG, Spruin S, Bennett C, Taljaard M, Beach S, et al. Predicting death in home care users: derivation and validation of the Risk Evaluation for Support: Predictions for Elder-Life in the Community Tool (RESPECT). CMAJ. 2021 Jul 5;193(26):E997–E1005.
PubMed PMC
9. Carey EC, Covinsky KE, Lui L-Y, Eng C, Sands LP, Walter LC. Prediction of mortality in community-living frail elderly people with long-term care needs. J Am Geriatr Soc. 2008 Jan; 56(1):68–75.
10. Schonberg MA, Davis RB, McCarthy EP, Marcantonio ER. Index to predict 5-year mortality of community-dwelling adults aged 65 and older using data from the National Health Interview Survey. J Gen Intern Med. 2009 Oct;24(10):1115–22.
PubMed PMC
11. Austin PC. Using the standardized difference to compare the prevalence of a binary variable between two groups in observational research. Commun Stat—SimulComput. 2009 May 14; 38(6):1228–34.
12. Howard M, Hafid A, Webber C, Isenberg SR, Gayowsky A, Jones A, et al. Continuity of physician care over the last year of life for different cause-of-death categories: a retrospective population-based study. CMAJ Open. 2022 Oct 1;10(4):E971–E980.
PubMed PMC
13. Tanuseputro P, Wodchis WP, Fowler R, Walker P, Bai YQ, Bronskill SE, et al. The Health care cost of dying: a population-based retrospective cohort study of the last year of life in Ontario, Canada. PLoS One. 2015 Mar 26;10(3):e0121759.
PubMed PMC
14. Chaudhuri D, Tanuseputro P, Herritt B, D’Egidio G, Chalifoux M, Kyeremanteng K. Critical care at the end of life: a population-level cohort study of cost and outcomes. Critical Care. 2017 Dec;21(1):124.
PubMed PMC
15. Kim HA, Cho M, Son D-S. Temporal change in the use of laboratory and imaging tests in one week before death, 2006–2015. J Korean Med Sci. 2023 Mar 27;38(12):e98.
PubMed PMC
16. White N, Reid F, Harris A, Harries P, Stone P. A systematic review of predictions of survival in palliative care: how accurate are clinicians and who are the experts? PLoS One. 2016 Aug 25; 11(8):e0161407.
PubMed PMC
17. White N, Kupeli N, Vickerstaff V, Stone P. How accurate is the ‘Surprise Question’ at identifying patients at the end of life? A systematic review and meta-analysis. BMC Med. 2017 Dec;15(1):139.
PubMed PMC
18. Downar J, Goldman R, Pinto R, Englesakis M, Adhikari NK. The “surprise question” for predicting death in seriously ill patients: a systematic review and meta-analysis. CMAJ. 2017 Apr 3;189(13):E484–E493.
PubMed PMC
19. Escobar GJ, Greene JD, Scheirer P, Gardner MN, Draper D, Kipnis P. Risk-adjusting hospital inpatient mortality using automated inpatient, outpatient, and laboratory databases. Medical Care. 2008 Mar 1;46(3):232–39.
PubMed
20. Escobar GJ, Gardner MN, Greene JD, Draper D, Kipnis P. Risk-adjusting hospital mortality using a comprehensive electronic record in an integrated health care delivery system. Medical Care. 2013 May 1;51(5):446–53.
PubMed
21. van Walraven C, Forster AJ. The HOMR-Now! model accurately predicts 1-year death risk for hospitalized patients on admission. Am J Med. 2017 Aug 1;130(8):991.e9–991.e16.
22. Walter LC, Brand RJ, Counsell SR, Palmer RM, Landefeld CS, Fortinsky RH, et al. Development and validation of a prognostic index for 1-year mortality in older adults after hospitalization. JAMA. 2001 Jun 20;285(23):2987–94.
PubMed
23. González EG, Alonso FJ, Astiz MT, Felix SS, Cárdenas VG, Guzmán JO, et al. Development and validation of a prognostic index for 6- and 12-month mortality in hospitalized older adults. Arch Gerontol Geriatr. 2017 Nov 1;73:269–78.
|
| ||
|
FIGURE D1 Creatinine laboratory test values over the last year of life for decedents (blue) and matched non-decedents (green) | ||
|
| ||
|
FIGURE D2 Hb1Ac laboratory values over the last year of life for decedents (blue) and matched non-decedents (green) | ||
|
| ||
|
FIGURE D3 Hemoglobin laboratory test values over the last year of life for decedents (blue) and matched non-decedents (green) | ||
|
| ||
|
FIGURE D4 Potassium laboratory test values over the last year of life for decedents (blue) and matched non-decedents (green) | ||
|
| ||
|
FIGURE D5 ALT laboratory test values over the last year of life for decedents (blue) and matched non-decedents (green) | ||
|
| ||
|
FIGURE D6 Sodium laboratory test values over the last year of life for decedents (blue) and matched non-decedents (green) | ||
Correspondence to: Colleen Webber, PhD, Ottawa Hospital Ottawa Hospital Research Institute–Civic Campus, 1053 Carling Ave., Box 693, M-07 Admin Services Building, Ottawa ON K1Y 4E9, E-mail: cowebber@ohri.ca
COPYRIGHT
This is an Open Access article distributed under the terms of the Creative Commons Attribution Non-Commercial No-Derivative license (https://creativecommons.org/licenses/by-nc-nd/4.0/), which permits unrestricted non-commercial use and distribution, provided the original work is properly cited.
Canadian Geriatrics Journal, Vol. 28, No. 1, MARCH 2025