Original Research

Post-discharge Home Care Services Use, Long-Term Care Placement, and Survival in Older Adults with Major Trauma: a Population-Based Cohort Study from Ontario, Canada

Christopher C.D. Evans, MD, MSc1,2, Wenbin Li, MSc2
1Department of Emergency Medicine, Queen’s University, Kingston Health Sciences Centre, Kingston
2ICES, Queen’s University, Kingston, ON

DOI: https://doi.org/10.5770/cgj.28.828

ABSTRACT

Background

There are few studies describing health services use and longer-term survival in older adults with major injuries. Our objectives were to characterize the outcomes of older adults experiencing a major injury, and to assess for associations between injury and rates of home-care services use (HCS), long-term care (LTC) placement, and survival.

Methods

We conducted a retrospective case-control study including adults 65 years or older admitted for a major injury (trauma survivors) or were uninjured (controls) between 2009 and 2023 in Ontario, Canada. Trauma survivors were matched 1:1 to controls based on age, sex, and number of comorbidities. Primary outcomes were rates of HCS use and LTC admissions for up to five years following discharge. Secondary outcomes were types of HCS use and survival. Multivariate regression was used to compare rates of HCS and LTC use. Cox proportional hazards models were used to assess time to LTC admission or death.

Results

The study cohort consisted of 31,508 individuals. Older adult trauma survivors experienced a twofold increased rate of home-care service use (odds ratio [OR]: 2.3, 95% confidence interval [CI]: 2.1–2.4), a 30% increased rate of LTC admissions (OR: 1.3, 95% CI: 1.0–1.6), and a 40% increased rate of death (hazard ratio: 1.4, 95% CI: 1.4–1.5).

Conclusions

Compared to controls, older adults surviving trauma use HCS at significantly higher rates, require LTC placement more frequently, and experience a decreased rate of survival.

Key words: wounds and injuries, health services, geriatrics, home-care services, epidemiology

INTRODUCTION

Older adults, often considered those aged 65 years or above, represent an increasing proportion of the population in nearly every developed country.(1) There are over 7.8 million older adults in the Canada in 2024, and the proportion of older adults in the population is expected to increase by 29.8% in 2068.(2) Caring for injured older adults represents a substantive challenge for most trauma providers, as well as for the trauma systems as a whole.

Clinical challenges in managing older adults with injuries include differing injury mechanisms (e.g., a predominance of ground level falls), anatomic injury types (traumatic brain injuries and hip fractures), and difficulties in identifying and managing major bleeding due to altered physiology, comorbidities, and medications such as blood thinners and anti-hypertensive medications.(3,4) Older adults with trauma experience difficulties accessing trauma centre care, with under-triage rates as high as 50%.(5) Once hospitalized, older adults experience higher rates of in-hospital complications and mortality, as well as longer recovery periods compared to younger patients with similar injuries.(4,6)

Older adults with traumatic brain injury (TBI) who survive to discharge following a major injury experience further challenges in the months and years ahead including higher rates of long-term care admission and mortality.(79) Further, these patients frequently experience persisting issues with chronic pain, mental health concerns, and a functional decline in independence.(10) In contrast, other studies do stress that older adults with TBI can do very well, particularly if they were healthy and independent prior to their injury, and emphasize the need to avoid undue pessimism in caring for these patients.(11)

Maintaining functional independence, in terms of caring for oneself at home without external assistance or dependency on others, is highly important to older adults experiencing a cancer diagnosis or other critical illness, and often drives decision-making during end-of-life care discussions.(1214) Indeed, the concept of “aging in place”—i.e., living at home independently rather than requiring chronic home-care services or placement in a long-term care (LTC) facility—has frequently been cited as a key patient centred outcome(15) in the emergency surgery literature. A survey of older adults in Canada surviving major injuries found that older adults often experience age biases during their hospitalization that detract from their goals of a functional recovery and maintaining an active lifestyle.(16) Recognizing the importance of functional outcomes to older trauma survivors, the 2016 National Academies of Sciences, Engineering, and Medicine recommended that external benchmarking of post-discharge quality of care for trauma centres include metrics specifically for older adults including their average number of healthy days at home, hospital readmissions, and all-cause mortality.(6,17,18)

Studying patterns and distributions of health-care service use, such as home care and LTC placements, is one practical approach to measuring functional independence with administrative data and has been used in the context of admissions for emergency surgery operations,(15) cancer surgeries,(12) unplanned intensive care unit admissions.(19)

To our knowledge, there are no large, population-based studies of the health services use patterns and longer-term survival of older adults experiencing diverse mechanisms and types of major injury. As such, we designed the present study to address two related objectives: first, to characterize the epidemiology and outcomes of older adults experiencing a major injury; and second, to determine the association between the experience of major injury and use of home-care services, LTC admissions, and survival after discharge.

METHODS

Study Design and Setting

We conducted a population-based retrospective case-control study from April 1, 2009 to March 31, 2023 using linked administrative sets held at Institute for Clinical Evaluation Sciences (ICES) in Ontario, Canada. Ontario is Canada’s most populous province (approximately 15.5 million in 2023), and has a publicly funded universal health insurance program (OHIP) that includes coverage for primary and emergency care, as well as in-hospital services. OHIP-related electronic health data are held by ICES, which is an independent, non-profit research institute funded by an annual grant from the Ontario Ministry of Health (MOH) and the Ministry of Long-Term Care (MLTC). ICES data holdings include all OHIP-insured health-care related events for the complete population of Ontario. These datasets were linked using unique encoded identifiers and analyzed at ICES. As a prescribed entity under Ontario’s privacy legislation, ICES is authorized to collect and use health-care data for the purposes of health system analysis, evaluation, and decision support.

ICES databases have previously been shown to comprehensively cover our province’s entire emergency system (>99% of emergency departments included), with high data linkage rates (>95%) and internal diagnostic validity (>90% compared with medical record abstraction).(20,21) We have previously used these datasets for studies involving trauma survivors and their use of acute-care services(22) and outpatient mental health services.(23)

Trauma Cases and Controls

Incident trauma cases were injured individuals 65 years or older admitted to an Ontario trauma centre from April 1, 2009 to March 31, 2023, with an acute injury and surviving to hospital discharge. For each case, we matched one control based on the case age (±1year), sex, and number of comorbidities (±2). Controls were matched based on the date of discharge of the trauma case. Comorbidities were measured using Aggregated Diagnostic Groups (ADGs) scores from the Johns Hopkins Adjusted Clinical Group ACGÒ Case-Mix System V10.0,(24) and based on diagnostic codes present in Canadian Institute for Health Information Discharge Abstract Database (CIHI-DAD) and Ontario Health Insurance Plan (OHIP) datasets for the two years preceding hospital admission.

If an individual had more than one injury admission to a trauma centre during the study period they were included once as a case at the time of their first injury. We excluded individuals who had an invalid ICES key number, were a resident of a long-term care facility at the time of their injury (entry in the Continuing Care Reporting System (CCRS)), were non-Ontario residents (no OHIP number), had an invalid birth or death date, died during the index hospitalization, or who lost OHIP eligibility for more than two consecutive years during follow up (Figure 1).

 


 

FIGURE 1 Study flow diagram

Covariates

We assessed the comorbidity burden for both cases and controls were assessed using Johns Hopkins ADG scores as described above, and categorized individuals into low (1–5), moderate (6–10),or high (10) comorbidity groups, based on the number of baselinecomorbid diagnoses present.(24) A person was identified as being frail if they had at least one diagnosis from within the 12 clusters of frailty-related conditions specified by the ACG system, consistent with previous studies validating this diagnostic approach.(24,25) Rurality was based on the Rurality Index for Ontario(26) and included the categories rural, small urban, and large urban. Income quintile was based on the median income of the individual’s residential postal code captured in the Ontario Marginalization Index (ONMARG). We used the Homecare Database (HCD) to identify individuals who had received at least one home-care service in the six months before their injury admission. These individuals were considered to be using home-care services at their baseline.(12)

We obtained injury types and diagnoses, admission dates, and discharge disposition information from the Ontario Trauma Registry (OTR), the National Ambulatory Care Reporting System (NACRS), and the Canadian Institute for Health Information Discharge Abstract Database (CIHI-DAD), respectively.

Outcomes

The primary outcomes were composite rates (sum) of health-service use episodes including long-term care admissions and home-care services during follow-up, which was to a maximum of five years. Long-term care admissions were obtained from the CCRS, and home-care service information was obtained from the HCD. The secondary outcomes were rates of specific types of home-care service use (nursing visits, personal support visits, case management assessments (for long-term care planning), occupational therapy, and physiotherapy visits) and survival over the follow-up period. Vital status was obtained from the Registered Persons Database (RPDB). Primary and secondary outcome rates are presented as rates per person years, reflecting the different time periods individuals in the study were at risk of accessing health services including home care and long-term care placement. The study is reported according to the Strengthening the Reporting of Observational Studies in Epidemiology (STROBE) reporting guidelines.(27)

Data Analysis

We performed cross tabulations and descriptive statistics between patient demographic variables, injury characteristics, and health-service use episodes. We used rate ratios (RR) to compare health services utilization rates between the case and control cohorts. Ratios are presented standardized per 10 person years to account for the different periods that individuals in the study were at risk of accessing health services. For these comparisons we report standardized differences because they are independent of sample size.(28) A standardized difference of greater than 0.1 was taken as being statistically significant.(28)

For the primary outcomes, we used univariate (unadjusted) and multivariable (adjusted) negative binomial models to assess the association between the experience of a major injury and rates of home care utilization. We used negative binomial regression models(29) because initial review of the data distribution demonstrated over dispersion, similar to previous studies,(22,23) with a high proportion of individuals having no health services use prior to their injury. For rates of long-term care admissions and deaths during the follow-up period we used conditional logistic regression models. For the secondary outcomes of time-to-death and time-to-admission to LTC outcomes we used Cox proportional hazards models. We included income quintile, rurality, frailty, and pre-injury home care utilization as covariates in the models. The study was approved by our local research ethics board; there was no requirement for informed consent.

RESULTS

We identified 30,066 major trauma survivors aged 65 years or older in Ontario from April 1, 2009 to March 31, 2023. Of these, 14,312 individuals were excluded, the majority (7,561; 52.8%) because they died during their index hospitalization. The remaining 15,754 cases were matched with an equal number of controls based on age, sex, and comorbidity burden for a total study cohort of 31,508 (Figure 1).

The trauma survivor cohort was predominately male (62.2%), with a median age of 76 years (IQR: 70–82 years), and largely originating from larger urban areas (69.3%) (see Table 1). Postal code incomes were comparable between trauma survivors and controls and overall, fairly evenly distributed amongst the different income quintiles. The median ADG comorbidity score was 10 (IQR: 7–13) indicating a highly comorbid patient population. 19.8% of the trauma survivors were considered frail at baseline (vs. 13.5% of the controls) and 23.5% of the trauma survivors at baseline had utilized home-care services (vs. 17.4% of the controls).

TABLE 1 Characteristics of trauma survivors and population-matched controls

Injuries were nearly uniformly caused by blunt force mechanisms (97.6%), with falls, motor vehicle collisions, and other non-specific causes being most common (Table 2). The most commonly injured body regions for the trauma survivors were head (70.5%), chest (42.0%), and upper extremity (30.2%). The median injury severity score was 17 (IQR: 13–25), confirming the cohort sustained significant injuries. The average length of index hospitalization was seven days (IQR: 4–15 days). The majority of patients (39.7%) were discharged home after their initial hospitalization.

TABLE 2 Injury characteristics and disposition of trauma survivors

Rates of overall home care service use, as well as rates for each specific type of home care service, were significantly higher in the trauma survivors compared to controls (Table 3). Overall, 67.2% of trauma survivors required some type of home care service during the follow-up period compared to 43.7% of controls (standard difference [SD]: 0.49). Case management, nursing, physiotherapy, and occupational therapy were the most frequently used services. These findings were consistent when standardized by follow-up time. Survival rates during the follow-up period during were lower for the trauma patient cohort. 13,136 (83.4%) of the trauma patients survived one year compared to 14,426 (91.6%) of the controls. 4,956 (64.6%) of the trauma patients surviving to the maximum five year follow-up compared to 5,685 (74.4%) of the controls.

TABLE 3 Home care services use in trauma survivors versus controls

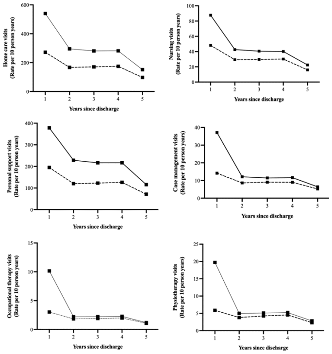
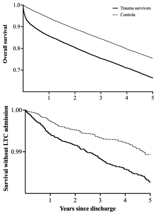
These findings persisted in the adjusted analyses. Trauma survivorship was associated with increased rates of home care services use (OR: 2.3, 95% CI: 2.1–2.4), increased rates of admission to long-term care facilities (OR:1.3, 95% CI: 1.0–1.6), as well higher rates of death during the follow-up period (HR: 1.4, 95% CI: 1.4–1.5). These associations were consistent over the follow-up period, as trauma survivors remained significantly more likely to die, or to survive but require admission to a long-term care facility than controls (Figure 2). Although home care service use peaked in the first year after discharge, trauma survivors had significantly higher rates of home care service utilization throughout the entire the five-year follow-up period, both in terms of total home care service use, as well as each specific type of home care service examined including nursing, personal support, case management, occupational therapy, and physiotherapy (Figure 3).

 


 

FIGURE 2 Kaplan Meier survival curves comparing overall survival (upper panel), as well as survival free of long-term care admission (lower panel) between controls (dashed line) and trauma survivors (black line) over a maximum of five years follow-up from hospital discharge; trauma survivors had significantly lower rates of overall survival and survival without long-term care admission throughout the follow-up period (p<.01)

 


 

FIGURE 3 Rates of total and various subtypes of home care services in controls (dashed lines) and trauma survivors (black lines) over a maximum of five years follow-up from hospital discharge; trauma survivors had significantly higher rates of all types of home care services use throughout the follow up period (p<.01)

DISCUSSION

In this population-based case-control study we found that older adults surviving major trauma face significant challenges in the years following their acute-care discharge. Compared to uninjured older adults of similar age and comorbidity burden the trauma survivors used home care services at significantly higher rates, required long-term placement more significantly more frequently, and experienced a decreased rate of survival. That these trends persisted throughout the entirety of the follow-up period reiterates that major trauma is a chronic disease(30) with implications for functional independence, particularly for older adults.

To date, there have been limited studies on the longer-term health services requirements of trauma survivors, and even less on older adults, in particular. We recently published on the acute-care health services use patterns of over 50,000 trauma patients in the province of Ontario, Canada, demonstrating an overall 56% increased rate of service use in this population, including emergency department visits, outpatient visits to family doctors, and hospital admissions over a five year follow-up period.(22) Another smaller Canadian study from the province of Manitoba found similar results; however, that study suggested that health services rates may be elevated up to ten years post-discharge.(31) Other studies have typically focused on service use in patients with specific injury types such as spinal cord injury,(32,33) traumatic brain injury,(34,35) or chest wall injuries,(36) finding elevated rates of emergency department visits and hospital admissions for at least several months post-injury.

There are fewer studies on the injury epidemiology and of the health-care service usage of older adults surviving major trauma, particularly health-care services required to promote functional independence. In terms of injuries, our cohort was similar to previous groups in having a predominance of injuries involving the head or brain (70.5%), chest (42.0%), or upper (30.2%) or lower extremity (20.6%).(3) This pattern of injuries is consistent with the diverse blunt force mechanisms in the cohort, including falls and motor vehicle collisions.

We have previously described a similar pattern of acute-care health services use in trauma patients of all ages, with a greatly elevated need for family doctor assessments, emergency services, and hospital admission in the first year after major injury, and before a levelling of service use to a rate above the average use of non-trauma patients.(22) Similarly, mental health service use after major trauma peaks within a year of discharge before declining to a level above the population average.(23) Collectively, these studies indicate a need for health systems to create resource capacity for trauma survivors in terms of acute-care, mental health, and home-care services, particularly for the first year after injury, but on an ongoing basis for years thereafter.

In the proportional hazard analysis, our cohort of older adults surviving major trauma experienced a 40% increased rate of death during the follow up period (HR: 1.4, 95% CI: 1.4–1.5). Our five-year survival rate for the trauma cohort was 64.6% and seems reasonable given that another Canadian study that included patients of all ages (median 41 years) found an 92% survival rate over a median of 4.2 years of follow-up.(37) A similar one-year survival rate was reported in Singapore study, where 7.2% of blunt trauma survivors died within a year of discharge; in that study, comorbidity burden as well as falls from low levels (<0.5 m) were amongst a number of predictive factors for mortality.(38)

Our study adds to the existing literature on longer term trauma survivorship by providing data specific to older trauma survivors compared to older adults of comparable age and health status in the same health-care system. Compared to previous studies of older adults that have focused on specific injury types like TBI,(79) our study included older adults with a diversity of injury mechanisms and injuries who were cared for at trauma centres throughout the province of Ontario, rather than in one hospital or region. We present novel data on rates of home care and LTC use, which is highly relevant both to clinicians at the beside in establishing discharge plans for their patients, as well as health system policy planners in estimating resource needs for our aging population. Our findings contribute to growing discussions around quality of care for older adults requiring acute care for injury, and how health-care systems can evolve to respect the desires of older adults to remain functionally independent post-discharge.(16)

Our study has a number of limitations. First, despite matching patients by age, sex, and comorbidities, we still found a difference in baseline rates of frailty and baseline home care utilization between our trauma cases and controls, with the trauma survivors being frailer and requiring more home care at the baseline. Although controlled for as a covariate in our analyses, it is possible that residual confounding between unmeasured aspects of frailty in our trauma survivor cohort is contributing to the association with health-care service needs and survivorship in this population. We also could not determine the reason that individuals requiring home care during the follow-up period required it; for instance, was it required due to ongoing injury related concerns like infections or impaired mobility due to fractures or deconditioning, or whether services were required for chronic medical conditions that predated the injury? Such information would have been helpful in better understanding the associations we observed between the experience of injury and health services use. Similarly, our data do not allow us to determine if differences in rates of physiotherapy or occupational therapy amongst survivors reflects differences in functional status that could affect an individual’s ability to engage with these health services. Finally, our trauma survivor population was limited to those who were admitted to trauma centres in Ontario, Canada. It is possible that older adults with trauma admitted to non-trauma centres have different injury patterns, patterns of comorbidity, or health service needs requirements than those managed at trauma centres, particularly given the established issues of under-triage in this age group.

CONCLUSION

Compared to uninjured older adults of similar age and comorbidity burden, older adults surviving major trauma use all types of home care services at significantly higher rates, require LTC placement more significantly more frequently, and experience a decreased rate of survival for up to five years post-discharge. Further studies investigating strategies to support older adult trauma survivors in maintaining functional independence and promoting survivorship after discharge from trauma centres are urgently needed.

ACKNOWLEDGEMENTS

This study was supported by ICES, which is funded by an annual grant from the Ontario Ministry of Health (MOH) and the Ministry of Long-Term Care (MLTC). Parts of this material are based on data and information compiled and provided by CIHI and the Ontario Ministry of Health (MOH). The analyses, conclusions, opinions and statements expressed herein are solely those of the authors and do not reflect those of the funding or data sources; no endorsement is intended or should be inferred.

CONFLICT OF INTEREST DISCLOSURES

We have read and understood the Canadian Geriatrics Journal’s policy on conflicts of interest disclosure and declare that neither of the authors have any conflicts of interest to declare.

FUNDING

The study was funded by the Public Health Agency of Canada.

REFERENCES

1. Cerreta F, Eichler HG, Rasi G. Drug policy for an aging population—the European Medicines Agency’s geriatric medicines strategy. N Eng J Med. 2012 Nov 22;367(21):1972–74.
Crossref

2. Statistics Canada. Population Projections for Canada (2021 to 2068), Provinces and Territories (2021 to 2043) [Internet]. Ottawa, ON: Government of Canada; 2024-06-28 [Accessed 2024-11-14]. Available from: https://www150.statcan.gc.ca/n1/pub/91-520-x/91-520-x2022001-eng.htm

3. Lundy ME, Zhang B, Ditillo M. Management of the geriatric trauma patient. Surg Clin. 2024 Apr 1;104(2):423–36.

4. Lau L, Ajzenberg H, Haas B, Wong CL. Trauma in the aging population: geriatric trauma pearls. Emerg Med Clin. 2023 Feb 1;41(1):183–203.
Crossref

5. Uribe-Leitz T, Jarman MP, Sturgeon DJ, Harlow AF, Lipsitz SR, Cooper Z, et al. National study of triage and access to trauma centres for older adults. Ann Emerg Med. 2020 Feb 1; 75(2):125–35.
Crossref

6. Zogg CK, Cooper Z, Peduzzi P, Falvey JR, Castillo-Angeles M, Kodadek LM, et al. Changes in older adult trauma quality when evaluated using longer-term outcomes vs in-hospital mortality. JAMA Surg. 2023 Dec 1;158(12):e234856.
Crossref  PubMed  PMC

7. Cole E, Crouch R, Baxter M, Wang C, Sivapathasuntharam D, Peck G, et al. Investigating the effects of frailty on six-month outcomes in older trauma patients admitted to UK major trauma centres: a multi-centre follow up study. Scand J Trauma Resusc Emerg Med. 2024 Jan 4;32(1):1.
Crossref  PubMed  PMC

8. Mlaver E, Codner J, Solomon G, Todd SR, Benjamin E. Epidemiology and post-discharge resource utilization of isolated traumatic brain injury in geriatric patients. Am Surg. 2023 Sep; 89(9):3884–85.
Crossref  PubMed  PMC

9. Bailey MD, Gambert S, Gruber-Baldini A, Guralnik J, Kozar R, Qato DM, et al. Traumatic brain injury and risk of long-term nursing home entry among older adults: an analysis of medicare administrative claims data. J Neurotrauma. 2023 Jan 1; 40(1–2):86–93.
Crossref  PMC

10. Fiorentino M, Hwang F, Pentakota SR, Glass NE, Livingston DH, Mosenthal AC. The geriatric patient one year after trauma: palliative performance scale predicts functional outcomes. Injury. 2023 Sep 1;54(9):110957.
Crossref  PubMed

11. Centre TBI Investigators. Health care utilization and outcomes in older adults after Traumatic Brain Injury: a CENTRE-TBI study. Injury. 2022 May 26;53(8):2774–82.
Crossref  PubMed

12. Chesney TR, Haas B, Coburn NG, Mahar AL, Zuk V, Zhao H, et al. Immediate and long-term health care support needs of older adults undergoing cancer surgery: a population-based analysis of postoperative homecare utilization. Ann Surg Oncol. 2021 Mar;28:1298–310.
Crossref

13. Barnato AE, Herndon MB, Anthony DL, Gallagher PM, Skinner JS, Bynum JP, et al. Are regional variations in end-of-life care intensity explained by patient preferences?: A study of the US medicare population. Med Care. 2007 May 1;45(5):386–93.
Crossref  PubMed  PMC

14. Fried TR, Van Ness PH, Byers AL, Towle VR, O’Leary JR, Dubin JA. Changes in preferences for life-sustaining treatment among older persons with advanced illness. J Gen Intern Med. 2007 Apr;22(4):495–501.
Crossref  PubMed  PMC

15. Guttman MP, Tillmann BW, Nathens AB, Bronskill SE, Saskin R, Huang A, et al. Not all is lost: Functional recovery in older adults following emergency general surgery. J Trauma Acute Care Surg. 2022 Jul 1;93(1):66–73.
Crossref  PubMed

16. Conn LG, Nathens AB, Scales DC, Vogt K, Wong CL, Haas B. A qualitative study of older adult trauma survivors’ experiences in acute care and early recovery. CMAJ Open. 2023 Mar 1; 11(2):E323–E328.
Crossref  PubMed  PMC

17. Zogg CK, Cooper Z, Peduzzi P, Falvey JR, Tinetti ME, Lichtman JH. Beyond in-hospital mortality: use of postdischarge quality-metrics provides a more complete picture of older adult trauma care. Ann Surg. 2023 Aug 1;278(2):e314–e30.
Crossref

18. Berwick DM, Downey AS, Cornett EA. A national trauma care system to achieve zero preventable deaths after injury: recommendations from a National Academies of Sciences, Engineering, and Medicine report. JAMA. 2016 Sep 6;316(9):927–28.
Crossref  PubMed

19. Tillmann BW, Hallet J, Guttman MP, Coburn N, Chesney T, Zuckerman J, et al. A population-based analysis of long-term outcomes among older adults requiring unexpected intensive care unit admission after cancer surgery. Ann Surg Oncol. 2021 Nov;28(12):7014–24.
Crossref  PubMed

20. Chiu M, Lebenbaum M, Lam K, Chong N, Azimaee M, Iron K, et al. Describing the linkages of the immigration, refugees and citizenship Canada permanent resident data and vital statistics death registry to Ontario’s administrative health database. BMC Med Inform Decis Mak. 2016 Dec;16(1):135.
Crossref  PubMed  PMC

21. Raza S, Thiruchelvam D, Redelmeier DA. Death and long-term disability after gun injury: a cohort analysis. CMAJ Open. 2020 Jul 1;8(3):E469–E78.
Crossref  PubMed  PMC

22. Evans CC, Li W. Health service use in major trauma survivors: a population-based cohort study from Ontario, Canada. J Trauma Acute Care Surg. 2024 Nov 1;97(5). Epub 2024 May 9. doi: 10.1097/TA.0000000000004388
Crossref  PubMed

23. Evans CC, Li W, Jagelaviciute G, Morrison C, Ng R, Brogly SB. Outpatient mental health service use in major trauma survivors: a population-based cohort study from Ontario, Canada. J Trauma Acute Care Surg. 2023 Feb 1;94(2):350–56.
Crossref

24. Reid RJ, MacWilliam L, Verhulst L, Roos N, Atkinson M. Performance of the ACG case-mix system in two Canadian provinces. Med Care. 2001 Jan 1;39(1):86–99.
Crossref  PubMed

25. Sternberg SA, Wershof Schwartz A, Karunananthan S, Bergman H, Mark Clarfield A. The identification of frailty: a systematic literature review. J Am Geriatr Soc. 2011 Nov;59(11):2129–38.
Crossref  PubMed

26. Kralj B. Measuring “rurality” for purposes of health-care planning: an empirical measure for Ontario. Ontario Med Rev. 2000 Oct;67(9):33–52.

27. Vandenbroucke JP, von Elm E, Altman DG, Gotzsche PC, Mulrow CD, Pocock SJ, et al. Strengthening the Reporting of Observational Studies in Epidemiology (STROBE): explanation and elaboration. PLoS Med. 2007 Oct;4(10):e297.
Crossref  PubMed  PMC

28. Austin PC. Using the standardized difference to compare the prevalence of a binary variable between two groups in observational research. Commun Stat Simul Comput. 2009 May 14;38(6):1228–34.
Crossref

29. Raphael MJ, Gupta S, Wei X, Peng Y, Soares CN, Bedard PL, et al. Long-term mental health service utilization among survivors of testicular cancer: a population-based cohort study. J Clin Oncol. 2021 Mar 1;39(7):779–86.
Crossref  PubMed

30. Gabbe BJ, Simpson PM, Cameron PA, Ponsford J, Lyons RA, Collie A, et al. Long-term health status and trajectories of seriously injured patients: a population-based longitudinal study. PLoS Med. 2017 Jul 5;14(7):e1002322.
Crossref  PubMed  PMC

31. Cameron CM, Purdie DM, Kliewer EV, McClure RJ. Mental health: a cause or consequence of injury? A population-based matched cohort study. BMC Public Health. 2006 Dec;6:114.
Crossref  PubMed  PMC

32. Hong HA, Fallah N, Wang D, Cheng CL, Humphreys S, Parsons J, et al. Multimorbidity in persons with non-traumatic spinal cord injury and its impact on healthcare utilization and health outcomes. Spinal Cord. 2023 Sep;61(9):483–91.
Crossref  PubMed

33. Dryden DM, Saunders LD, Rowe BH, May LA, Yiannakoulias N, Svenson LW, et al. Utilization of health services following spinal cord injury: a 6-year follow-up study. Spinal Cord. 2004 Sep;42(9):513–25.
Crossref  PubMed

34. Eliacin J, Yang Z, Kean J, Dixon BE. Characterizing health care utilization following hospitalization for a traumatic brain injury: a retrospective cohort study. Brain Injury. 2021 Jan 5; 35(1):119–29.
Crossref

35. Langer LK, Bayley MT, Levy C, Munce SEP, Lawrence DW, Tam A, et al. Medical care among individuals with a concussion in Ontario: a population-based study. Can J Neurol Sci. 2024 Jan; 51(1):87–97.
Crossref

36. Battle C, Hutchings H, Rafferty J, Toghill H, Akbari A, Watkins A. Health care utilization outcomes in patients with blunt chest wall trauma following discharge from the emergency department: a retrospective, observational data-linkage study. J Trauma Acute Care Surg. 2023 Dec 1;95(6):868–74.
Crossref  PubMed

37. Laupland KB, Svenson LW, Grant V, Ball CG, Mercado M, Kirkpatrick AW. Long-term mortality outcome of victims of major trauma. Injury. 2010 Jan 1;41(1):69–72.
Crossref

38. Wong TH, Nadkarni NV, Nguyen HV, Lim GH, Matchar DB, Seow DC, et al. One-year and three-year mortality prediction in adult major blunt trauma survivors: a national retrospective cohort analysis. Scand J Trauma Resusc Emerg Med. 2018 Dec;26(1):28.
Crossref  PubMed  PMC


Correspondence to: Christopher C.D. Evans, MD, MSc, Department of Emergency Medicine, Queen’s University, Kingston Health Sciences Centre, KGH Site - 76 Stuart St., Victory 3, Kingston, ON K7L 2V7, E-mail: c.evans@queensu.ca

(Return to Top)


COPYRIGHT

This is an Open Access article distributed under the terms of the Creative Commons Attribution Non-Commercial No-Derivative license (https://creativecommons.org/licenses/by-nc-nd/4.0/), which permits unrestricted non-commercial use and distribution, provided the original work is properly cited.


Canadian Geriatrics Journal, Vol. 28, No. 2, JUNE 2025