Original Research

Physical, Psychological, Cognitive and Social Frailty Domains in Community-Dwelling Adults Aged 45–85: a Cross-sectional Analysis of the Canadian Longitudinal Study on Aging (CLSA)

Lauren E. Griffith, PhD1, Graciela Muniz Terrera, PhD2, Edwin van den Heuvel, PhD3, Jayati Khattar, PhD (cand)4, David B. Hogan, MD, FRCPC5, Megan O’Connell, PhD, RDPsych6, Mélanie Levasseur, OT, PhD7, Parminder Raina, PhD1
1Department of Health Research Methods, Evidence, and Impact and McMaster Institute for Research on Aging, McMaster University, Hamilton, ON, Canada;
2Heritage College of Osteopathic Medicine, Ohio University, Athens, OH, USA;
3Department of Mathematics and Computer Science, Eindhoven University of Technology, Eindhoven, The Netherlands;
4Dalla Lana School of Public Health, University of Toronto, Toronto, ON, Canada;
5Cumming School of Medicine (Professor emeritus), University of Calgary, Calgary, AB, Canada;
6Department of Psychology & Health Studies, University of Saskatchewan, Saskatoon, SK, Canada;
7School of Rehabilitation, Faculty of Medicine and Health Sciences, Université de Sherbrooke, Sherbrooke, Canada, & Research Center on Aging, Centre intégré universitaire de santé et de services sociaux de l’Estrie–Centre hospitalier universitaire de Sherbrooke, Université de Sherbrooke, Sherbrooke, QC, Canada

DOI: https://doi.org/10.5770/cgj.28.872

ABSTRACT

Background

Reported estimates of frailty prevalence vary considerably. At least partially attributable to differences in the conceptualization of frailty used, a better understanding of the inter-relationships among frailty domains could clarify contributors to the noted heterogeneity.

Methods

A global frailty index (FI) created from baseline data on 30,097 Canadian Longitudinal Study on Aging comprehensive cohort participants was used to define physical, psychological, cognitive, and social domain-specific FIs. These were divided into quintiles with the highest 20% (Q5) representing the frailest participants. Logistic regression was used to estimate the associations between age group and biological sex with domain-specific FIs in unadjusted and adjusted (income, smoking status, nutritional risk, physical activity, social participation, interaction between sex and age group) models. The association between Q5 membership among the frailty domains was estimated using polychoric correlation coefficients.

Results

The prevalence of physical and cognitive frailty increased with age, but psychological frailty decreased, especially in males. Social frailty showed gradual increases with age in females that were only evident in the oldest age group (75–85) among men. The age-groups*sex interaction p value was p<.001 for social. Polychoric correlations were highest between the psychological/physical and psychological/social domains, and decreased with increasing age for all combinations.

Conclusion

We found that domain-specific frailty prevalences differed by age group and sex with low associations among frailty domains, particularly at older ages. Understanding the evolution of these findings could be instrumental in developing tailored interventions to prevent frailty or modify its trajectory.

Key words: frailty domains, physical frailty, psychological frailty, social frailty, cognitive frailty, Canadian Longitudinal Study on Aging (CLSA)

INTRODUCTION

Frailty is marked by increased vulnerability to adverse outcomes in response to stressors. A commonly used approach to its detection, the accumulation of health deficits as measured by a frailty index (FI),(1) is associated with higher mortality and health service use.(2) Frailty has been identified as a clinical and public health priority.(3) Although not universally found,(4) research on frailty suggests severity can be reduced, particularly among the middle-aged and young–old.(2) Implementing early interventions would require accurately identifying emerging frailty, coupled with a better understanding of contributors over time and across age and biological sex. Reported prevalence estimates for frailty in community-living older adults range from 3.9% to 51.4%.(5) This variability has been attributed, in part, to differences in how frailty is conceptualized and measured across studies. Cost-effective preventive frailty care requires a better understanding of the heterogeneity of frailty and determining whether targeted personalized interventions directed at presumed causes are effective.(4)

Gobbens and colleagues described frailty as “a dynamic state affecting an individual who experiences losses in one or more domains of human functioning (physical, psychological, cognitive, and social) caused by the influence of a range of variables and which increases the risk of adverse outcomes.”(6) In addition to physical frailty, researchers have examined the independent role of other frailty domains(7) based on the premise that causation is better understood by examining domains independently, as well as collectively.(8)

Few researchers, though, have looked at multiple frailty domains simultaneously. van Oostrom et al.(8) reported that only 3.4% of their study cohort was frail in more than one of four domains (physical, social, psychological, cognitive). Two studies examining three domains simultaneously (physical, psychological, social) found that 24.2% and 39.9% were frail in more than one, respectively.(9,10) While frailty prevalence and presentation are known to differ by both age and sex,(11) most studies have only examined the main effects of these factors, and not how they may interact across domains.

The aims of this study were to: 1) derive physical, social, psychological and cognitive domain-specific FIs based on ideally 30–40 (10 minimum) health deficits per domain; 2) describe their distribution and how domain-specific FIs relate to each other in a community-based sample of middle-aged and older adults; and 3) examine if these patterns differed by age group and sex.

METHODS

Study Design/Setting

The Canadian Longitudinal Study on Aging (CLSA) is a comprehensive research platform examining health and aging.(12) All study participants provide a core set of demographic, lifestyle/behaviour, social, physical, psychological, and health data. Of those enrolled at baseline (data collected 2012–2015), 21,241 were randomly selected from Canadian provinces and underwent computer-assisted telephone interviews. They formed the CLSA tracking cohort. The remaining 30,097 were in the CLSA comprehensive cohort and underwent more detailed in-person assessments at their homes and in one of 11 Data Collection Sites (DCS) found across Canada (comprehensive cohort participants had to reside within 25–50 km of a DCS). More information about CLSA design and methods can be found elsewhere.(12)

This cross-sectional study used only baseline data collected on comprehensive participants primarily due to this cohort having more cognitive items that could be allocated to this domain.

Participants

At baseline, CLSA participants were community-dwelling women and men aged 45 to 85 years. Exclusion criteria were: inability to provide informed consent; residents of the three Canadian territories; living on federal First Nations reserves; full-time membership in the Canadian Armed Forces; institutional residency; or lack of fluency in English or French.(12) Informed consent was provided prior to participation.

Research Ethics Board approval was received from all Data Collection Sites. This study was approved by the Hamilton Integrated Research Ethics Board (Ethics certificate #: 7269-C)

Variables

Frailty Index (FI)

We calculated the ratio of health deficits (e.g., symptoms, signs, impairments, disabilities, diseases) present to the total number considered for a global and domain-specific FIs. Higher FI ratios indicate greater frailty. Health deficits were selected based on the literature, input from domain experts on the authorship team (DH physical, MO psychological and cognition, ML social), and modified (changes made described below) criteria proposed by Searle et al.(13) We aimed for 30–40 deficits per domain, with a minimum of 10 to avoid unstable domain-specific FIs.(13) Because participants were as young as 45 years and our interest in examining the emergence of frailty, we did not restrict health deficit selection to items that increased with age. This has been done previously when examining frailty over the adult lifespan.(2) Spearman’s correlation coefficients were calculated to examine the association of each item selected with age. It was anticipated the inclusion of non-age-related items would disproportionally affect the psychological domain, as emotional well-being tends to improve from mid- to later-life.(14) Typically only health deficits with population prevalences >1% are used in FIs, but we included eight (six ADL items, self-reported Alzheimer’s disease, Parkinsonism) with lower ones due to the high likelihood that their prevalences would increase as the cohort ages. Multiple Sclerosis was included due to its known association with impaired cognition(15) and frailty.(16)

For binary variables, health deficit was recoded as ‘0’ if absent and ‘1’ if present. For non-binary variables, a gradient from 0 to 1 was created using equal steps (e.g., if a deficit had 3 levels, it would be coded “0”, “0.5” and “1”). If information on more than 5% of the deficits were missing in global or domain-specific FIs, the affected FI was not calculated.(13)

A total of 129 health deficits were selected for the global FI. When sub-divided into domains, there were 43 physical (e.g., self-reported chronic conditions, activities of daily living; 83.7% of these deficits increased with age), 30 psychological (e.g., self-rated mental health, satisfaction with life; 3.3% increased with age), 17 cognitive (e.g., cognitive test scores, self-reported chronic conditions known to be associated with cognitive impairment; 82.4% increased with age), and 39 social (e.g. social support availability, social participation; 71.8% increased with age) health deficits. A listing of deficits by domain with their scoring is presented in the supplemental material Tables S1a–S1d. Average deficit values across age groups and correlation coefficients with age are shown in the supplemental material Tables S2a–S2d.

We divided each FI domain into quintiles. The frailty index is essentially a discrete variable, with an unknown right-skewed distribution. It does not follow a normal or any known continuous distribution. By categorizing the index into a five-level ordinal variable, we maintain most of the variability in the index and distributional focus, eliminate possible recording errors adjusting for an incorrectly perceived high resolution, and make it manageable for statistical analysis. Participants scoring in the top 20% of a FI were considered the frailest. We then created a binary variable to compare members of the top 20% (Q5) with the rest of the sample (Q1–Q4).

Covariates

Sex (female, male) and age group (45–54, 55–64, 65–74, 75–85 years) were included in all analyses as both are related to the likelihood of frailty(17) and domain scores.(18) Potential confounders included as covariates were: household income (<$20,000, $20,000–49,999, $50,000–99,999, $100,000–$149,000, ≥$150,000 CDN); smoking status (current/former daily smoker or other); nutritional risk (score <38 on AB SCREEN™ II Nutritional Risk(19)); low moderate-vigorous physical activity (<75 min per week of vigorous-intensity or <150 min per week of combined moderate- and vigorous-intensity physical activity(20)); and low self-perceived social participation (“yes” or “no”). None of the potential confounders were a health deficit item in the global or domain-specific FIs.

Statistical Methods

Descriptive statistics were calculated for continuous (means, standard deviations [SD]) and categorical (percentages) measures. Statistical significance was defined as a p value < .05. After the removal of cases missing 5% of data and retained cases missing information for specific items, overall missing data on health deficit items ranged from 0.8% to 11.8%. Multiple imputation of 10 data sets was conducted with predictive mean matching using frailty deficits and covariates to provide estimates less prone to bias.(21) As these results did not differ from the complete case analysis, for simplicity only the complete case analysis is presented.

We described frequency and percentage of participants in Q5 for each domain and combination of the domains by sex and age-group. We then conducted logistic regression to examine the associations between sex and age group with Q5 membership for each domain. Models were adjusted for all potential confounders listed in the covariates section. We further examined if there was an interaction between sex and age group in final adjusted models. Deviance residual analyses were conducted to assess model fit. The association in Q5 membership between the frailty domains was examined using the polychoric correlation coefficient,(22) which measures the association between ordinal variables assuming the existence of bivariate continuous variables underneath. As a sensitivity analysis, we examined the concordance in Q5 membership between the frailty domains using Goodman and Kruskal’s Gamma(23) We interpreted a correlation between 0–0.19 as very weak, 0.2–0.39 as weak, 0.4–0.59 as moderate, 0.6–0.79 as strong, and >0.8 as very strong.(24) All analyses were conducted using SAS version 9.4 (SAS (SAS Institute Inc., Cary, NC).

The Strengthening the Reporting of Observational Studies in Epidemiology cross-sectional checklist was used to guide our work.(25)

RESULTS

Table 1 displays participant characteristics by age group. The mean global FI was 0.120 and increased with age. Physical and cognitive domain scores increased with age, while the psychological one decreased and the social domain remained relatively stable until an increase in the 75–85 age category. Slightly over half (50.9%) of participants were female, 58% were 45–64 years.

TABLE 1 Demographic, socioeconomic, and lifestyle characteristics for all participants of the CLSA (n=30097) and by 10-year age groups

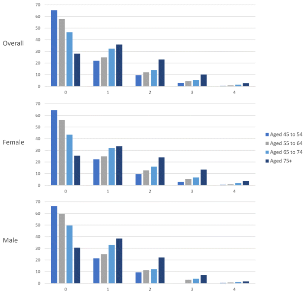
Overall, 47.6% of participants were in the frailest quintile for at least one frailty domain (27.7% one only, 13.6% two, 5.1% three, and 1.2% all four) (Figure 1). Figure 2 presents the percent of participants in Q5 for each domain by age and sex. Q5 membership increased with age for physical and cognitive frailty, but showed a small decrease in psychological. Social frailty showed gradual increases with age in females that were only evident in the oldest age group among men. Females had higher levels of Q5 membership in the physical, psychological, and social frailty domains, but not the cognitive one. Similar patterns for psychological and cognitive frailty by sex and age were found on all combinations of frailty domains (Figure S1 in the supplemental material).


FIGURE 1 The percent of CLSA participants (2010–2015) who were in the highest quintile for 0, 1, 2, 3, or 4 domains of frailty by age group, overall and by sex


FIGURE 2 The percent of CLSA participants (2010–2015) in the highest quintile of each domain of frailty, stratified by age and sex

Table 2 summarizes the association between Q5 membership for each domain by age group and sex. The main effects for age group and sex were statistically significant in unadjusted and adjusted models. The odds of being in Q5 increased with age for physical, cognitive, and social frailty, though this did not remain after covariate adjustment for social. With psychological frailty, the odds of being in Q5 decreased with age. Noted associations were stronger in adjusted models. In unadjusted models, the odds of being in Q5 were higher for females compared to males for physical, psychological, and social frailty domains, but higher in males for the cognition. Adjusted models were consistent except for social frailty, where the odds for males were higher than females and the age-group*sex interaction p value was p<.001. The odds of Q5 membership were lower in all other age-groups relative to the youngest one for men. Conversely for women, the ORs for 55–64 and 65–74 age categories did not differ significantly from the 45–54 age group, but were 1.47 times higher (95% CI 1.26–1.71) among those 75–85.

TABLE 2 Summary of logistic regression results estimating the association between age group and sex and being in the highest quintile of frailty for each domain (p values <.05 were considered statistically significant)

Polychoric correlations between Q5 membership for all domain combinations decreased with age for both sexes (Figure 3). Overall, associations were highest between the psychological/social and physical/psychological domains. They were moderate (0.47 to 0.59) in the youngest age-group, while weak (0.34 to 0.40) in the oldest one. Associations were weak for all other domain combinations and age groups. Although the magnitudes were generally higher (ranging from 0.14 to 0.75), similar patterns of concordance were found using the Gamma statistic (Figure S2 in the supplemental material).


FIGURE 3 The polychoric correlations measuring the association between each combination of binary frailty domains (highest quintile of frailty vs. not) for females (3a) and males (3b) in the CLSA from 2010–2015

DISCUSSION

We examined age patterns and associations for four frailty domains by sex in a large population-based cohort of community-dwelling, middle-aged and older adults. While physical and cognitive frailty showed similar age-related increases in females and males, the age pattern for the psychological and social domains differed by sex. Psychological frailty declined with age, especially in males, while social frailty rose in females with age, but only showed an increase in the oldest age group (75–85) among males. The associations between frailty domains were generally weak and decreased with age. Exceptions were the relationships between the physical/psychological and psychological/social domains that were moderate for both sexes though weakening at higher ages.

Frailty Domains—Comparison with Literature

The increases in physical and cognitive frailty scores with age were in line with comparable prior studies.(810,26,27) Cognitive frailty was the only domain higher in males than females in unadjusted analyses. van Oostrom et al. reported a similar result(8) as did Petersen et al.,(28) but Arnadottir et al.(26) using self-reported cognitive function(29) (rather than objective testing which we used(30)) reported no difference. More research on sex-related cognitive decline is needed.

Psychological frailty decreased with age in our study. van Oostrom et al.(8) found a similar association, as did Bai et al.(31) who reported higher average mental health deficit scores in younger (<65 years) versus older (≥65 years) frail adults in the Swedish Screening Across Lifespan Twin Study (SALT) and the UK Biobank. Ye et al.,(10) on the other hand, reported no association between age and psychological frailty but only examined adults 70 years and older, and Teo et al.(9) found that “mental frailty”, which included cognitive impairment, increased with age.(32) In our study, psychological frailty (which captured both psychopathology and aspects of mental wellness, but not cognition) was highest in the younger age groups (45–54 and 55–65 years). There is evidence that psychopathology declines with advancing age.(33)

Social frailty was associated with increasing age in one prior study(9) but not in two others.(8,10) In our work, social frailty domain scores increased with age in females while remaining relatively stable until a late (75–85 years of age) increase among males. Social frailty was found higher in males in a prior study,(8) higher among females in another,(9) and not statistically different between the sexes in a third.(10) The prevalence of social frailty is affected by settings, country, and method of assessment.(34) We found that the association with increasing age differed by sex. Older women are reportedly more likely to participate in community activities(35) and have greater social connectivity than men.(36) Further exploration of social frailty and its evolution is indicated.

Age-related Frailty Domains Patterns

Our finding that psychological and, to a lesser extent, social domain scores did not reliably increase with age in both sexes is counter to most frailty literature(1,37) where an increase in item prevalence with age is used as a criterion for selecting health deficits.(13) For the reasons noted, we did not restrict frailty items to those that increased with age. It is possible that these domains are not core components of later life frailty but function as risk factors, modifiers and/or outcomes of this state. If a component of frailty, the decline seen in psychological frailty scores with age needs explanation. Possibly symptoms like fatigue are more often designated as anhedonic features of a depression in middle-aged adults while in older persons they may be seen as inherent to the aging process and “expected”. A current unknown is whether psychological and social domain frailty at mid-life increases the risk for physical, cognitive, and global frailty at older ages. Longitudinal data analyses will be required to address this.

Correlation Among Frailty Domains

The polychoric correlations among frailty domains ranged from 0.10 (very weak) to 0.59 (moderate) and tended to decrease with age in both sexes. Possibly frailty at older ages becomes more uniform in its presentation as primarily a physical-cognitive clinical syndrome. The decrease in the associations between frailty domains with age may also reflect a cohort-effect (i.e., differences in populations born at particular points in time that are independent of the process of aging). For example, middle-aged adults may be more willing to voice psychological concerns and/or accept a mental health diagnosis.(38) Other explanations are possible and require study.

The correlations we did find among frailty domains were strongest between the psychological/social and psychological/physical domains. As this is a cross-sectional study, we cannot draw casual conclusions about these specific relationships. Among other possibilities, the stronger associations may be related to a common negative influence of a third factor such as sedentary behaviour (we included moderate–vigorous physical activity as a covariate but not sedentary behaviour) on all three domains.(39) Sedentary behaviour is associated with an increased risk of depression,(40) social isolation,(41) and decreased odds of healthy aging(42) in middle-aged and older populations.

Strengths and Weaknesses

Strengths of this study include using a national population-based cohort of middle-aged and older adults. The large sample size allowed us to investigate how the prevalence of an association between frailty domains is influenced by other factors. We explored the robustness of our results to missing data by using multiple imputation approaches and did not find significant differences in frailty prevalences (data not shown).

Weaknesses include our cross-sectional study design that prevented us from making any conclusions about casual relationships and lack of participant diversity (i.e., in the CLSA they are largely white, well-educated, and economically advantaged(12)). We had only 17 health deficits in the cognitive domain, which are fewer than the target of 30–40. With small numbers of deficits (10 or less), estimates become unstable.(13) Having only 17 may have impacted the reliability of our results for this domain. We did not limit the selection of items to those that increased with age for the reasons previously noted. We are uncertain whether psychological (and possibly social) health deficits should be included within the frailty concept, or if it is more appropriate to view them as risk factors, modifiers or outcomes. Longitudinal data would help address this and other unresolved questions raised by our work. Finally, our results may also be sensitive to the deficits and cut points utilized in the FIs.

CONCLUSION

We found differences in the prevalence and associations among frailty domains by age group and sex. While being in Q5 for the physical and cognitive domains of frailty increased with age, the opposite was true for the psychological domain, with a less clear relationship for the social domain. Frailty domains only had low-to-moderate associations with each other. This underscores the importance of viewing frailty as a multidimensional construct. We need to know much more about frailty domains, their relationships, and how they change over time. A better understanding, we feel, would be key to developing and tailoring health interventions that prevent frailty or modify its trajectory.

ACKNOWLEDGEMENTS

This research was made possible using the data/biospecimens collected by the Canadian Longitudinal Study on Aging (CLSA). Funding for the CLSA is provided by the Government of Canada through the Canadian Institutes of Health Research under grant reference: LSA 94473 and the Canada Foundation for Innovation, as well as the following provinces, Newfoundland, Nova Scotia, Quebec, Ontario, Manitoba, Alberta, and British Columbia. This research has been conducted using the CLSA dataset Baseline Comprehensive Version 7.0, under Application Number 19CA002. The CLSA is led by Drs. Parminder Raina, Christina Wolfson and Susan Kirkland. The opinions expressed in this manuscript are the author’s own and do not reflect the views of the Canadian Longitudinal Study on Aging. The AB SCREEN™ II assessment tool is owned by Dr. Heather Keller. Use of the AB SCREEN™ II assessment tool was made under license from the University of Guelph.

CONFLICT OF INTEREST DISCLOSURES

We have read and understood the Canadian Geriatrics Journal’s policy on conflicts of interest disclosure and we have no conflicts of interest to declare.

FUNDING

This study was supported by a Canadian Institutes of Health Research Catalyst Grant (FRN 151287). Lauren Griffith is supported by the McLaughlin Foundation Professorship in Population and Public Health. Mélanie Levasseur holds a Tier 1 Canadian Research Chair in Social Participation and Connection for Older Adults (CRC-2022-00331; 2023–2030). Parminder Raina holds the Raymond and Margaret Labarge Chair in Research and Knowledge Application for Optimal Aging.

SUPPLEMENTARY MATERIALS

Supplemental material linked to the online version of the paper (https://doi.org/10.5770/cgj.28.872):

Table S1a–S1d: Operationalization and frequency of cognitive frailty deficits at baseline

Table S2a–S2d: Average deficit value by age group and Spearman correlation results

Figure S1: Percentage of CLSA participants

Figure S2: Goodman and Kruskal’s Gamma measuring agreement

REFERENCES

1. Rockwood K, Mitnitski A. Frailty in relation to the accumulation of deficits. J Gerontol A Biol Sci Med Sci. 2007 Jul 1; 62(7):722–27.
Crossref  PubMed

2. Rockwood K, Song X, Mitnitski A. Changes in relative fitness and frailty across the adult lifespan: evidence from the Canadian National Population Health Survey. CMAJ. 2011 May 17; 183(8):E487–94.
Crossref  PubMed  PMC

3. Cesari M, Prince M, Thiyagarajan JA, De Carvalho IA, Bernabei R, Chan P, et al. Frailty: An Emerging Public Health Priority. J Am Med Direct Assoc. 2016 Mar 1;17(3):188–92.
Crossref

4. Looman WM, Huijsman R, Fabbricotti IN. The (cost-)effectiveness of preventive, integrated care for community-dwelling frail older people: a systematic review. Health Soc Care Community. 2019;27:1–30. Epub 2018 Apr 17.
Crossref

5. Siriwardhana DD, Hardoon S, Rait G, Weerasinghe MC, Walters KR. Prevalence of frailty and prefrailty among community-dwelling older adults in low-income and middle-income countries: a systematic review and meta-analysis. BMJ Open. 2018 Mar 1;8(3):e018195.
Crossref  PubMed  PMC

6. Gobbens RJ, Luijkx KG, Wijnen-Sponselee MT, Schols JM. Towards an integral conceptual model of frailty. J Nutr Health Aging. 2010 Mar 1;14(3):175–81.
Crossref  PubMed

7. Liu HX, Ding G, Yu WJ, Liu TF, Yan AY, Chen HY, et al. Association between frailty and incident risk of disability in community-dwelling elder people: evidence from a meta-analysis. Public Health. 2019 Oct 1;175:90–100.
Crossref  PubMed

8. van Oostrom SH, van der AD, Rietman ML, Picavet HSJ, Lette M, Verschuren WMM, et al. A four-domain approach of frailty explored in the Doetinchem Cohort Study. BMC Geriatrics. 2017 Aug 30;17(1):196.
Crossref  PubMed  PMC

9. Teo N, Yeo PS, Gao Q, Nyunt MSZ, Foo JJ, Wee SL, et al. A bio-psycho-social approach for frailty amongst Singaporean Chinese community-dwelling older adults—evidence from the Singapore Longitudinal Aging Study. BMC Geriatrics. 2019 Dec 12;19(1):350.
Crossref

10. Ye L, Elstgeest LE, Zhang X, Alhambra-Borrás T, Tan SS, Raat H. Factors associated with physical, psychological and social frailty among community-dwelling older persons in Europe: a cross-sectional study of Urban Health Centres Europe (UHCE). BMC Geriatrics. 2021 Jul 12;21(1):422.
Crossref  PubMed  PMC

11. O’Caoimh R, Sezgin D, O’Donovan MR, Molloy DW, Clegg A, Rockwood K, et al. Prevalence of frailty in 62 countries across the world: a systematic review and meta-analysis of population-level studies. Age Ageing. 2021 Jan;50(1):96–104.
Crossref

12. Raina P, Wolfson C, Kirkland S, Griffith LE, Balion C, Cossette B, et al. Cohort Profile: The Canadian Longitudinal Study on Aging (CLSA). Int J Epidemiol. 2019 Dec 1;48(6):1752–53j.
Crossref  PubMed  PMC

13. Searle SD, Mitnitski A, Gahbauer EA, Gill TM, Rockwood K. A standard procedure for creating a frailty index. BMC Geriatr. 2008 Sep 30;8(1):24.
Crossref  PubMed  PMC

14. Stone AA, Schwartz JE, Broderick JE, Deaton A. A snapshot of the age distribution of psychological well-being in the United States. Proc Natl Acad Sci. 2010 Jun 1;107(22):9985–90.
Crossref  PubMed  PMC

15. Amato MP, Zipoli V, Portaccio E. Cognitive changes in multiple sclerosis. Expert Rev Neurother. 2008 Oct 1;8(10):1585–96.
Crossref  PubMed

16. Panza F, Solfrizzi V, Barulli MR, Santamato A, Seripa D, Pilotto A, et al. Cognitive frailty: a systematic review of epidemiological and neurobiological evidence of an age-related clinical condition. Rejuvenat Res. 2015 Oct 1;18(5):389–412.
Crossref

17. Gordon EH, Peel NM, Samanta M, Theou O, Howlett SE, Hubbard RE. Sex differences in frailty: a systematic review and meta-analysis. Experiment Gerontol. 2017 Mar 1;89:30–40.
Crossref

18. Griffith LE, Raina P, Kanters D, Hogan D, Patterson C, Papaioannou A, et al. Frailty differences across population characteristics associated with health inequality: a cross-sectional analysis of baseline data from the Canadian Longitudinal Study on Aging (CLSA). BMJ Open. 2021 Jul 1;11(7):e047945.
Crossref  PubMed  PMC

19. Keller HH, Goy R, Kane SL. Validity and reliability of SCREEN II (Seniors in the Community: Risk evaluation for eating and nutrition, Version II). Eur J of Clin Nutrition. 2005 Oct;59(10):1149–57.
Crossref

20. World Health Organization. WHO guidelines on physical activity and sedentary behaviour. 2020 Nov 25. Geneva; WHO; 2020.

21. Resseguier N, Verdoux H, Giorgi R, Clavel-Chapelon F, Paoletti X. Dealing with missing data in the Center for Epidemiologic Studies Depression self-report scale: a study based on the French E3N cohort. BMC Med Res Methodol. 2013 Feb 21;13(1):28.
Crossref  PubMed  PMC

22. Pearson K, Pearson ES. On polychoric coefficients of correlation. Biometrika. 1922 Jul 1;14(1/2):127–56.
Crossref

23. Barbiero A, Hitaj A. Goodman and Kruskal’s gamma coefficient for ordinalized bivariate normal distributions. Psychometrika. 2020 Dec;85(4):905–25.
Crossref  PubMed  PMC

24. Rea LM, Parker RA. Designing and conducting survey research: a comprehensive guide, 4th ed. Hoboken, NJ: John Wiley & Sons; 2014.

25. von Elm E, Altman DG, Egger M, Pocock SJ, Gøtzsche PC, Vandenbroucke JP. The Strengthening the Reporting of Observational Studies in Epidemiology (STROBE) statement: guidelines for reporting observational studies. Lancet. 2007 Oct 20;370(9596):1453–57.
Crossref  PubMed

26. Arnadottir SA, Bruce J, Lall R, Withers EJ, Underwood M, Shaw F, et al. The importance of different frailty domains in a population based sample in England. BMC Geriatrics. 2020 Jan 15;20(1):16.
Crossref  PubMed  PMC

27. Vatanabe IP, Pedroso RV, Teles RHG, Ribeiro JC, Manzine PR, Pott-Junior H, et al. A systematic review and meta-analysis on cognitive frailty in community-dwelling older adults: risk and associated factors. Aging Ment Health. 2022 Mar 4; 26(3):464–76.
Crossref

28. Petersen RC, Roberts RO, Knopman DS, Geda YE, Cha RH, Pankratz VS, et al. Prevalence of mild cognitive impairment is higher in men: The Mayo Clinic Study of Aging. Neurology. 2010 Sep 7;75(10):889–97.
Crossref  PubMed  PMC

29. Matthews M, Lucas A, Boland R, Hirth V, Odenheimer G, Wieland D, et al. Use of a questionnaire to screen for frailty in the elderly: an exploratory study. Aging Clin Exp Res. 2004 Feb;16(1):34–40.
Crossref  PubMed

30. Tuokko H, Griffith LE, Simard M, Taler V, O’Connell ME, Voll S, et al. The Canadian longitudinal study on aging as a platform for exploring cognition in an aging population. Clin Neuropsychol. 2020 Jan 2;34(1):174–203.
Crossref

31. Bai G, Wang Y, Mak JKL, Ericsson M, Hägg S, Jylhävä J. Is frailty different in younger adults compared to old? Prevalence, characteristics, and risk factors of early-life and late-life frailty in samples from Sweden and UK. Gerontology. 2023 Dec 6;69(12):1385–93.
Crossref  PubMed  PMC

32. Zhao JL, Liu YWJ, Tyrovolas S, Mutz J. Exploring the concept of psychological frailty in older adults: a systematic scoping review. J Clin Epidemiol. 2023 Jul 1;159:300–08.
Crossref  PubMed

33. Lee C. Latest federal data show that young people are more likely than older adults to be experiencing symptoms of anxiety or depression [news release]. San Francisco, CA: KFF; 2023 (accessed on 8 May 2024). Available from: https://www.kff.org/mental-health/latest-federal-data-show-that-young-people-are-more-likely-than-older-adults-to-be-experiencing-symptoms-of-anxiety-or-depression/

34. Zhang X-M, Cao S, Gao M, Xiao S, Xie X, Wu X. The prevalence of social frailty among older adults: a systematic review and meta-analysis. Journal of the American Medical Directors Association. 2023 Jan 1;24(1):29–37.
Crossref

35. Ong CH, Pham BL, Levasseur M, Tan GR, Seah B. Sex and gender differences in social participation among community-dwelling older adults: a systematic review. Front Public Health. 2024 apr 12;12:1335692.
Crossref  PubMed  PMC

36. Warburton J, McLaughlin D. Doing it from your heart: the role of older women as informal volunteers. J Women Aging. 2006 Jun 12;18(2):55–72.
Crossref  PubMed

37. Fried LP, Tangen CM, Walston J, Newman AB, Hirsch C, Gottdiener J, et al. Frailty in older adults: evidence for a phenotype. J Gerontol A Biol Sci Med Sci. 2001 Mar;56(3):M146–57.
Crossref  PubMed

38. Pescosolido BA, Halpern-Manners A, Luo L, Perry B. Trends in public stigma of mental illness in the US, 1996–2018. JAMA Netwk Open. 2021 Dec 1;4(12):e2140202.
Crossref

39. Codella R, Chirico A. Physical inactivity and depression: the gloomy dual with rising costs in a large-scale emergency. Int J Environ Res Public Health. 2023 Jan 16;20(2):1603.
Crossref  PubMed  PMC

40. Wang J, Li R, Zhang L, Gao X, Zhou M, Zhang X, et al. Associations between sedentary behaviour patterns and depression among people aged 60 and older in Hebei Province of China. BMC Public Health. 2022 Feb 11;22(1):283.
Crossref  PubMed  PMC

41. Schrempft S, Jackowska M, Hamer M, Steptoe A. Associations between social isolation, loneliness, and objective physical activity in older men and women. BMC Public Health. 2019 Jan 16;19(1):74.
Crossref  PubMed  PMC

42. Shi H, Hu FB, Huang T, Schernhammer ES, Willett WC, Sun Q, et al. Sedentary Behaviors, Light-Intensity Physical Activity, and Healthy Aging. JAMA Netwk Open. 2024 Jun 3; 7(6):e2416300.
Crossref


Correspondence to: Lauren E. Griffith, PhD, Department of Health Research Methods, Evidence, and Impact, McMaster University, MIP 309A, 175 Longwood Rd. S., Hamilton, ON L8P 0A1, Canada, E-mail: griffith@mcmaster.ca

(Return to Top)


COPYRIGHT

This is an Open Access article distributed under the terms of the Creative Commons Attribution Non-Commercial No-Derivative license (https://creativecommons.org/licenses/by-nc-nd/4.0/), which permits unrestricted non-commercial use and distribution, provided the original work is properly cited.


Canadian Geriatrics Journal, Vol. 28, No. 4, DECEMBER 2025